我开始在jupyter笔记本上使用python,我非常喜欢这个标记功能。唯一的问题(更确切地说)是打印不像标准的胶乳/Mathjax渲染。
这是我的第一个手机
import sympy as sm
import numpy as np这是我的第二个单元格(来自文档的示例代码)
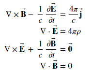
%%latex
\begin{align}
\nabla \times \vec{\mathbf{B}} -\, \frac1c\, \frac{\partial\vec{\mathbf{E}}}{\partial t} & = \frac{4\pi}{c}\vec{\mathbf{j}} \\
\nabla \cdot \vec{\mathbf{E}} & = 4 \pi \rho \\
\nabla \times \vec{\mathbf{E}}\, +\, \frac1c\, \frac{\partial\vec{\mathbf{B}}}{\partial t} & = \vec{\mathbf{0}} \\
\nabla \cdot \vec{\mathbf{B}} & = 0
\end{align}笔记本中的结果如下图所示

将其与标准Mathjax呈现进行比较。

清楚地表明,标准Mathjax看起来更精致,因此对数学眼睛来说更令人愉快:D。
问题:我怎么能强迫我的笔记本渲染像第二张图片一样?
发布于 2022-10-29 16:30:40
我有一个简单的解决方案,打印标记细胞在木星笔记本。我在这方面一直存在问题,而内置的解决方案并不总是有效的。
我所做的就是将ipynb文件上传到免费的https://colab.research.google.com/(一种免费服务),然后打印出来。
瞧,问题解决了。
https://stackoverflow.com/questions/48150506
复制相似问题