下面的情节是用ggplot2和ggpubr制作的。我想指出VaD+和HC之间的意义。我想把p值改为星号。我想我应该使用symnum.args,但是当我尝试它时,我没有得到任何改变。
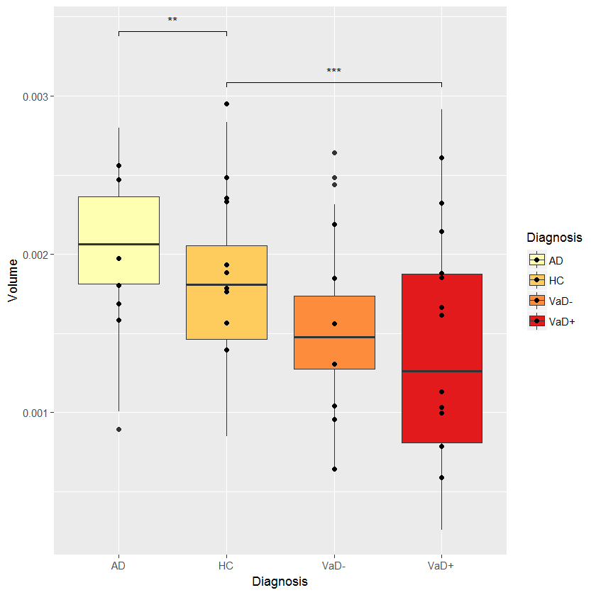
myplot <- ggplot(my.data, aes(x = DX, y = CC, fill=DX)) + geom_boxplot() + ggtitle("Corpus Collasum") + theme(text=element_text(size = 16), panel.grid.major = element_blank(), panel.grid.minor = element_blank(),panel.background = element_blank(), axis.line = element_line(colour = "black"), plot.title = element_text(lineheight=.8, face="bold", hjust=0.5)) + scale_y_continuous(name = bquote('Volume in'~mm^3)) + scale_x_discrete(name = "Diagnosis", labels = c("AD","HC","VaD-","VaD+")) + scale_fill_brewer(palette="OrRd", name="Diagnosis", labels=c("AD","HC","VaD-","VaD+")) + geom_jitter(width = 0)
cmpr <- list(c("VaDD","HC"), c("AD","VaDD"))
myplot + stat_compare_means(comparisons = cmpr, tip.length=0.01, symnum <- list(cutpoints = c(0, 0.0001, 0.001, 0.01, 0.05, 1), symbols = c("****", "***", "**", "*", "ns")))基本上,我想用符号替换数字p值。
这里是数据。

发布于 2017-12-16 11:20:10
@dww (使用label = "p.signif")提供的解决方案是正确的:
cmpr <- list(c("VaD+","HC"), c("AD","HC"))
myplot + stat_compare_means(comparisons = cmpr, tip.length=0.01,
label = "p.signif",
symnum.args = list(cutpoints = c(0, 0.0001, 0.001, 0.01, 0.05, 1),
symbols = c("****", "***", "**", "*", "ns")))

编辑:我修改了stat_compare_means,因为这个函数似乎忽略了symnum.args
my_stat_compare_means <- function (mapping = NULL, data = NULL, method = NULL, paired = FALSE,
method.args = list(), ref.group = NULL, comparisons = NULL,
hide.ns = FALSE, label.sep = ", ", label = NULL, label.x.npc = "left",
label.y.npc = "top", label.x = NULL, label.y = NULL, tip.length = 0.03,
symnum.args = list(), geom = "text", position = "identity",
na.rm = FALSE, show.legend = NA, inherit.aes = TRUE, ...)
{
if (!is.null(comparisons)) {
method.info <- ggpubr:::.method_info(method)
method <- method.info$method
method.args <- ggpubr:::.add_item(method.args, paired = paired)
if (method == "wilcox.test")
method.args$exact <- FALSE
pms <- list(...)
size <- ifelse(is.null(pms$size), 0.3, pms$size)
color <- ifelse(is.null(pms$color), "black", pms$color)
map_signif_level <- FALSE
if (is.null(label))
label <- "p.format"
if (ggpubr:::.is_p.signif_in_mapping(mapping) | (label %in% "p.signif")) {
if (ggpubr:::.is_empty(symnum.args)) {
map_signif_level <- c(`****` = 1e-04, `***` = 0.001,
`**` = 0.01, `*` = 0.05, ns = 1)
} else {
map_signif_level <- symnum.args
}
if (hide.ns)
names(map_signif_level)[5] <- " "
}
step_increase <- ifelse(is.null(label.y), 0.12, 0)
ggsignif::geom_signif(comparisons = comparisons, y_position = label.y,
test = method, test.args = method.args, step_increase = step_increase,
size = size, color = color, map_signif_level = map_signif_level,
tip_length = tip.length, data = data)
} else {
mapping <- ggpubr:::.update_mapping(mapping, label)
layer(stat = StatCompareMeans, data = data, mapping = mapping,
geom = geom, position = position, show.legend = show.legend,
inherit.aes = inherit.aes, params = list(label.x.npc = label.x.npc,
label.y.npc = label.y.npc, label.x = label.x,
label.y = label.y, label.sep = label.sep, method = method,
method.args = method.args, paired = paired, ref.group = ref.group,
symnum.args = symnum.args, hide.ns = hide.ns,
na.rm = na.rm, ...))
}
}
symnum.args <- c("**"=0.0025,"*"=0.05,ns=1)
myplot + my_stat_compare_means(comparisons = cmpr, tip.length=0.01,
label = "p.signif", symnum.args = symnum.args)

https://stackoverflow.com/questions/47839988
复制相似问题