我正在跟踪对伪随机数生成器测试的描述,并试图在C中实现测试。不过,有一件事我还挂在心上。所涉案文如下:
对连续块
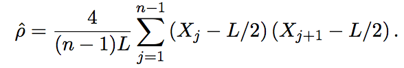
L钻头的汉明重量进行了相关检验。设Xj是jth块的Hamming重量(位数等于1),用于j = 1, . . . , n。该检验计算了连续Xj之间的经验关联,

在H0下,作为
n ⇢ infinity,p̂ * sqrt(n - 1)具有渐近的标准正态分布。这是在测试中使用的。该测试仅对大n有效。
现在,我的计划是计算这个测试统计量,并使用Anderson-Darling检验对正态分布进行拟合优度检验。但是,对于如何从这个测试统计数据中获得分布,我感到有点困惑。根据我的理解,对于完整的位n,我只会得到一个p̂。因此,我将只得到一个测试统计数据p̂ * sqrt(n - 1)。我该怎么把这个和正态分布比较呢?我们的想法是用自己的n将我的数据集分解成多个块,计算每个数据集的测试统计量,然后将这个分布与标准的正常值进行比较吗?我只想确保我正确地理解了p̂的计算。
发布于 2017-10-06 21:40:09
频率假设检验包括在假设零假设为真的情况下,确定观察检验统计值的可能性。如果检验统计值的概率很高,则不拒绝空假设。如果检验统计值“不太可能”,则空假设将被拒绝。“不太可能”的含义被指定为测试的可信度( α )。
根据你的文本,在零假设下,T = p̂ * sqrt(n - 1)是渐近分布的标准正态分布,T ~ N(0, 1)。因此,在这两个假设下进行一项测试:
Null: T = 0
Alternate: T <> 0然后,使用单个观察到的p̂值:
t = p̂ * sqrt(n - 1)。p = P(|T| > |t|),即在|t|值处求N(0,1)的尾概率。p低于您的置信水平,则拒绝空假设,而支持替代假设。例如,假设您生成了一个n=10001随机数序列,并根据该序列计算了一个p̂值0.025。若要在α = 0.05重要性级别确定该值的重要性,请执行以下操作:
t = p̂ * sqrt(n - 1) = 0.025 * sqrt(10001 - 1) = 2.5p = P(|T| > |t|) =P(|T| > 2.5) = 0.01242p < α以来,证据支持否定零假设。https://stackoverflow.com/questions/46613124
复制相似问题