我有一个数据框架:
df <- structure(list(Sample = c("1: FL_643", "2: FL_645", "3: FL_647","4: FL_656", "5: FL_658", "6: cKO_644", "7: cKO_646", "8: cKO_654","9: cKO_655", "10: cKO_657", "1: FL_643", "2: FL_645", "3: FL_647", "4: FL_656", "5: FL_658", "6: cKO_644", "7: cKO_646", "8: cKO_654", "9: cKO_655", "10: cKO_657"), Genotype = structure(c(1L, 1L, 1L, 1L, 1L, 2L, 2L, 2L, 2L, 2L, 1L, 1L, 1L, 1L, 1L, 2L, 2L, 2L, 2L, 2L), .Label = c("miR-15/16 FL", "miR-15/16 cKO"), class = "factor"),
Tissue = structure(c(2L, 2L, 2L, 2L, 2L, 2L, 2L, 2L, 2L,
2L, 2L, 2L, 2L, 2L, 2L, 2L, 2L, 2L, 2L, 2L), .Label = c("Thymus",
"iLN", "Spleen", "Skin", "Colon"), class = "factor"), variable = structure(c(1L,
1L, 1L, 1L, 1L, 1L, 1L, 1L, 1L, 1L, 2L, 2L, 2L, 2L, 2L, 2L,
2L, 2L, 2L, 2L), .Label = c("Cells/SC/Live/CD8—,, CD4+,Freq. of Parent",
"Cells/SC/Live/CD8—,, CD4+/Foxp3+,Freq. of Parent", "Cells/SC/Live/CD8—,, CD4+/Foxp3+,Median,<BV421-A>,CD127",
"Cells/SC/Live/CD8—,, CD4+/Foxp3+/CD25+,Freq. of Parent",
"Cells/SC/Live/CD8—,, CD4+/Foxp3+/CD25-,Freq. of Parent",
"Cells/SC/Live/CD8—,, CD4+/Foxp3-,Freq. of Parent", "Cells/SC/Live/CD8—,, CD4+/Foxp3-,Median,<BV421-A>,CD127",
"Cells/SC/Live/CD8—,, CD4+/Foxp3-/CD62L—,, CD44—,Freq. of Parent",
"Cells/SC/Live/CD8—,, CD4+/Foxp3-/CD62L—,, CD44+,Freq. of Parent",
"Cells/SC/Live/CD8—,, CD4+/Foxp3-/CD62L+,, CD44—,Freq. of Parent",
"Cells/SC/Live/CD8—,, CD4+/Foxp3-/CD62L+,, CD44+,Freq. of Parent",
"Cells/SC/Live/CD8—,, CD4+/Foxp3-/CD44+,Freq. of Parent",
"Cells/SC/Live/CD8+,, CD4—,Freq. of Parent", "Cells/SC/Live/CD8+,, CD4—,Median,<BV421-A>,CD127",
"Cells/SC/Live/CD8+,, CD4—/CD62L—,, CD44—,Freq. of Parent",
"Cells/SC/Live/CD8+,, CD4—/CD62L—,, CD44+,Freq. of Parent",
"Cells/SC/Live/CD8+,, CD4—/CD62L+,, CD44—,Freq. of Parent",
"Cells/SC/Live/CD8+,, CD4—/CD62L+,, CD44+,Freq. of Parent",
"Cells/SC/Live/CD8+,, CD4—/CD62L+,, CD44+,Freq. of Parent_1",
"Cells/SC/Live,Count", "Cells/SC/Live/CD8—,, CD4+,Count",
"Cells/SC/Live/CD8—,, CD4+/Foxp3+,Count", "Cells/SC/Live/CD8—,, CD4+/Foxp3+/CD25+,Count",
"Cells/SC/Live/CD8—,, CD4+/Foxp3+/CD25-,Count", "Cells/SC/Live/CD8—,, CD4+/Foxp3-,Count",
"Cells/SC/Live/CD8—,, CD4+/Foxp3-/CD62L—,, CD44—,Count",
"Cells/SC/Live/CD8—,, CD4+/Foxp3-/CD62L—,, CD44+,Count",
"Cells/SC/Live/CD8—,, CD4+/Foxp3-/CD62L+,, CD44—,Count",
"Cells/SC/Live/CD8—,, CD4+/Foxp3-/CD62L+,, CD44+,Count",
"Cells/SC/Live/CD8+,, CD4—,Count", "Cells/SC/Live/CD8+,, CD4—/CD62L—,, CD44—,Count",
"Cells/SC/Live/CD8+,, CD4—/CD62L—,, CD44+,Count", "Cells/SC/Live/CD8+,, CD4—/CD62L+,, CD44—,Count",
"Cells/SC/Live/CD8+,, CD4—/CD62L+,, CD44+,Count"), class = "factor"),
value = c(41.2, 35.5, 39.5, 33.2, 39.1, 35.5, 35.7, 33.9,
39.7, 42.4, 10.9, 12.1, 10.9, 12.5, 12.3, 12.8, 14.1, 15.8,
14.6, 12.5)), .Names = c("Sample", "Genotype", "Tissue", "variable", "value"), row.names = c(NA, -20L), class = "data.frame")并使用以下函数绘制数据的各种组合
library(ggplot2)
library(ggpubr)
plot_it <- function(Tissue,
row_add = (1:nrow(temp)),
y.lab = "Did you forget to add a label?",
font_choice = "Helvetica",
font_size = 12,
stat_test = "t.test",
p_display = "p.signif",
legend_position = c("right")) {
# Subset data frame based on row_add
rownames(temp) <- NULL
df <- droplevels(temp[c(row_add),])
rownames(df) <- NULL
View(temp)
# Define color and shape of variables
color.groups <- c("black","red")
names(color.groups) <- unique(df$Genotype)
shape.groups <- c(16, 1)
names(shape.groups) <- unique(df$Genotype)
# Generate data frame of reference y-values for p-value labels and bracket positions
dmax = df %>% group_by(variable) %>%
summarise(value=max(value, na.rm=TRUE),
Genotype=NA)
# For tweaking position of brackets
e = max(dmax$value)*0.1
r = 0.6
w = 0.19
bcol = "black"
# Define y axis and wrap label
y.axis <- df$value
y.lab <- str_wrap(y.lab, width = 40)
ggplot(df, aes(x = variable, y = value, color = Genotype, shape = Genotype)) +
# geom_violin(position = position_dodge(width = 0.75)) +
geom_boxplot(position = position_dodge(width = 0.75), outlier.shape = NULL) +
geom_point(position=position_dodge(width=0.75), size = 2) +
ylim(0,1.2*max(y.axis, na.rm = TRUE)) + ylab(y.lab) + xlab(df$Tissue) +
scale_color_manual(values=color.groups) +
scale_shape_manual(values=shape.groups) +
scale_x_discrete(labels = function(x) str_wrap(x, width = 20)) +
theme_bw() + theme(panel.border = element_blank(), panel.grid.major = element_blank(),
panel.grid.minor = element_blank(), axis.line = element_line(colour = "black"),
aspect.ratio = 1, text = element_text(family=font_choice, size = font_size),
legend.position = legend_position) +
stat_compare_means(show.legend = FALSE, label = p_display, method = stat_test,
label.y = e + dmax$value, family = font_choice) +
geom_segment(data=dmax,
aes(x=as.numeric(variable)-w, xend=as.numeric(variable)+w,
y=value + r*e, yend=value + r*e), size=0.3, color=bcol, inherit.aes=FALSE)
}通过使用下面对函数的调用来生成绘图:
plot_it(Tissue = "Thymus", row_add = c(c(1:30), c(141:150)))这就产生了这样的情节:

我想让函数创建一个方面包装,有效地将y轴转换成两个段,这样两个段的比例就可以更好地显示数据。实际上,当我用具有高度不同值的变量绘制一个图时,这个比例对所有变量都是不合适的。
如果这是不可能的,那么是否有一种简单的方法可以在每幅图的基础上手动引入一个平面包装来拆分y轴?
发布于 2017-09-28 21:59:27
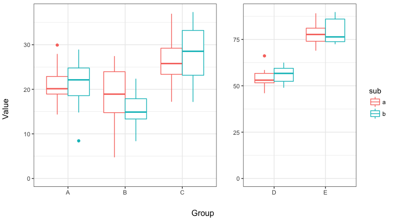
您可以使用群集将具有类似方法的组保持在一起。然而,由于尺度不同,这些图表可能会产生误导。
在下面的示例中,我使用了假数据,因为示例数据只有两组。
library(tidyverse)
# Fake data with five groups
set.seed(2)
dat = data.frame(group=rep(LETTERS[1:5], each=20),
sub=rep(rep(letters[1:2], each=10), 5),
value=rnorm(100, rep(c(20, 17, 27, 56, 80), each=20), 5))
# Add facet groups using kmeans clustering
dat = dat %>%
group_by(group) %>%
mutate(mean=mean(value)) %>%
ungroup %>%
mutate(facet_group = kmeans(mean, 2)$cluster)
ggplot(dat, aes(group, value, colour=sub)) +
geom_boxplot() +
facet_wrap(~ facet_group, scales="free", ncol=2) +
expand_limits(y=0) +
theme_classic() +
theme(strip.background=element_blank(),
strip.text=element_blank())

或者更复杂的布局选项:
library(gridExtra)
# Create the two plots separately and store them in a list
plots = unique(dat$facet_group) %>%
map(
~ ggplot(dat[dat$facet_group==.x, ], aes(group, value, colour=sub)) +
geom_boxplot() +
expand_limits(y=0) +
labs(y="", x="") +
theme_bw() +
theme(strip.background=element_blank(),
strip.text=element_blank())
)
# Extract Legend
g_legend <- function(a.gplot) {
tmp <- ggplot_gtable(ggplot_build(a.gplot))
leg <- which(sapply(tmp$grobs, function(x) x$name) == "guide-box")
legend <- tmp$grobs[[leg]]
return(legend)
}
leg = g_legend(plots[[1]])
# Lay out the plots and the legend
grid.arrange(
arrangeGrob(grobs=map(plots, function(x) x + guides(colour=FALSE)), widths=c(3,2)),
leg, widths=c(10,1), left="Value", bottom="Group"
)

https://stackoverflow.com/questions/46478389
复制相似问题