使用数据集:
library(tidyverse)
df1 <- structure(list(dept = c("A", "B", "C"),
n = c(70908L, 50004L, 294614L)), class = c("tbl_df", "tbl",
"data.frame"), row.names = c(NA, -3L), .Names = c("dept", "n"))
df2 <- structure(list(dept = c("A", "B", "D", "E"),
n = c(544L, 684L, 375L, 1191L)), class = c("tbl_df", "tbl", "data.frame"),
row.names = c(NA, -4L), .Names = c("dept", "n"))
> df1
# A tibble: 3 x 2
dept n
<chr> <int>
1 A 70908
2 B 50004
3 C 294614
> df2
# A tibble: 4 x 2
dept n
<chr> <int>
1 A 544
2 B 684
3 D 375
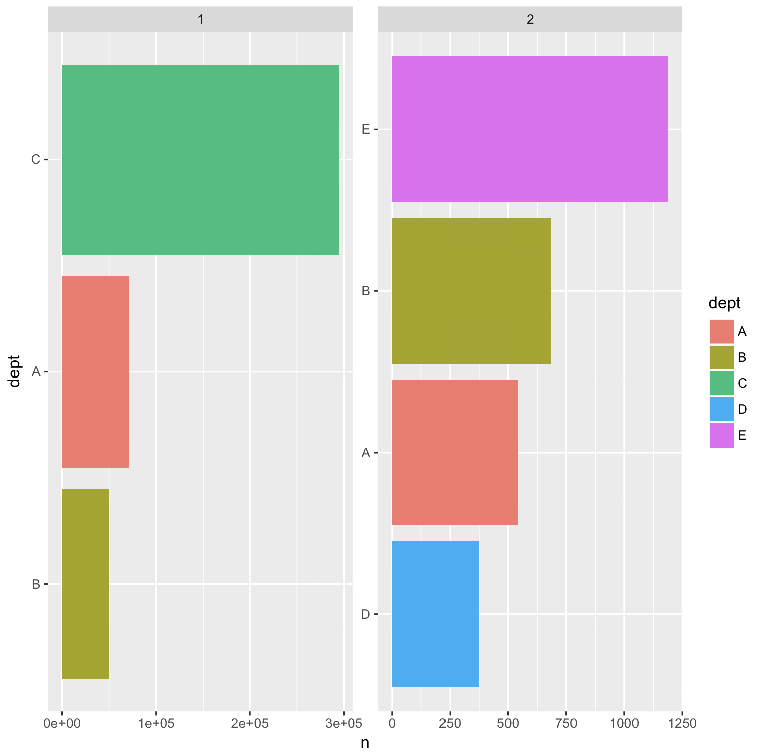
4 E 1191我想用相同的填充/图例在侧面创建一个有序的桶形图。到目前为止,我能做到的是:
df <- rbind(df1 %>% mutate(source = 1),
df2 %>% mutate(source = 2))
df %>% ggplot(aes(reorder(dept, n), n, fill = dept)) +
geom_bar(stat = "identity") +
coord_flip() +
facet_wrap(~source, scales = "free")如何使reorder函数在各个方面工作?
发布于 2017-09-27 18:03:29
若要对两个方面中的值进行排序,请使用它创建新列var3和reorder。之后,只需将scale_x_discrete中的标签从var3更改为dept。
library(tidyverse)
df <- rbind(df1 %>% mutate(source = 1),
df2 %>% mutate(source = 2)) %>%
mutate(var3 = paste(source, dept))
ggplot(df, aes(reorder(var3, n), n, fill = dept)) +
geom_bar(stat = "identity") +
coord_flip() +
xlab("dept") +
facet_wrap(~ source, scales = "free") +
scale_x_discrete(breaks = df$var3, labels = df$dept)

https://stackoverflow.com/questions/46453728
复制相似问题