我一直试图在 Marp (一个将.md文件转换为PDF的工具)中找到一个解决方案,但却找不到解决方案。
我试过使用\begin{equation}......\end{equation}(在Marp中显然不支持),以及各种$....$、$$....$$的组合,但是找不到黑客。
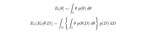
我试着生成这样的东西:

但我明白了:

这是我的代码:
$$ E_{\theta}[\theta] = \int_{\theta}\theta\ p(\theta)\ d\theta $$
$$ E_D[E_{\theta}[\theta|D]] = \int_D\Bigg\{\int_{\theta}\theta\ p(\theta|D)\ d\theta \Bigg\}\ p(D)\ dD $$我错过了什么。有一个解决方案,但我不确定Marp是否支持。我也找不到在Marp中导入软件包的方法。
请帮帮忙。谢谢。
发布于 2020-07-06 14:04:35
$$放在方程的开头和结尾--但不是在每个方程之后。\\将每个方程分开。&放在每个等号之前(在您希望它对齐的地方)\begin{aligned}和\end{aligned}函数。下面是一个简单的例子:
$$\begin{aligned} 1 + 2 + 3 + 4 &= 10 \\
20 \times 80 &= 1600 \end{aligned}$$下面是这种格式的示例:
$$\begin{aligned}E_{\theta}[\theta] &= \int_{\theta}\theta\ p(\theta)\ d\theta \\
E_D[E_{\theta}[\theta|D]] &= \int_D\Bigg\{\int_{\theta}\theta\ p(\theta|D)\ d\theta \Bigg\}\ p(D)\ dD \end{aligned}$$这些示例在呈现时:
https://stackoverflow.com/questions/45761077
复制相似问题