我正试图在leetcode https://leetcode.com/problems/factor-combinations/description/上解决这个问题
数字可以看作是其因素的乘积。例如 8=2x2x2;=2x4。
编写一个接受整数n的函数,并返回它的所有因素的所有可能组合。
虽然我能够使用dfs方法编写代码,但我很难在输入方面驱动其最坏的情况时间复杂性。有人能帮忙吗?
public List<List<Integer>> getFactors(int n) {
List<List<Integer>> result = new ArrayList<List<Integer>>();
List<Integer> current = new ArrayList<Integer>();
getFactorsHelper(n,2,current,result);
return result;
}
public void getFactorsHelper(int n,int start,List<Integer> current, List<List<Integer>> result){
if(n<=1 && current.size()>1){
result.add(new ArrayList<>(current));
return;
}
for(int i=start;i<=n;i++){
if(n%i==0) {
current.add(i);
getFactorsHelper(n/i,i,current,result);
current.remove(current.size()-1);
}
}
}发布于 2017-08-13 19:38:03
我计算了代码的复杂性,如下所示:
让我们考虑runtime of getFactorsHelper(n,2)是函数T(n)。
在下面的部分,您有一个带有i索引的循环。
for(int i=start;i<=n;i++){
if(n%i==0) {
current.add(i);
getFactorsHelper(n/i,i,current,result);
current.remove(current.size()-1);
}
}在每次迭代中,n被i除以。所以我们有:
(第一次迭代)
getFactorsHelper(n/2,2,current,result) = T(n/2) (第二次迭代)
getFactorsHelper(n/3,3,current,result) <= getFactorsHelper(n/3,2,current,result) = T(n/3) (第三次迭代)
getFactorsHelper(n/4,4,current,result) <= getFactorsHelper(n/4,2,current,result)
= T(n/4) …
(最后迭代)
getFactorsHelper(n/n,n,current,result) <= getFactorsHelper(n/n,2,current,result) = T(n/n) = T(1) 总成本
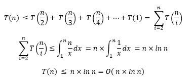
T(n) <= T(n/2) + T(n/3) + T(n/4) + ... + T(1)求解递归函数

我希望这能帮到你。
发布于 2017-09-19 06:50:41
无法在评论中发布解决方案。@AliSoltani https://discuss.leetcode.com/topic/30752/my-short-java-solution-which-is-easy-to-understand发帖作为另一个答案
public class Solution {
public List<List<Integer>> getFactors(int n) {
List<List<Integer>> ret = new LinkedList<List<Integer>>();
if(n <= 3) return ret;
List<Integer> path = new LinkedList<Integer>();
getFactors(2, n, path, ret);
return ret;
}
private void getFactors(int start, int n, List<Integer> path, List<List<Integer>> ret){
for(int i = start; i <= Math.sqrt(n); i++){
if(n % i == 0 && n/i >= i){ // The previous factor is no bigger than the next
path.add(i);
path.add(n/i);
ret.add(new LinkedList<Integer>(path));
path.remove(path.size() - 1);
getFactors(i, n/i, path, ret);
path.remove(path.size() - 1);
}
}
}}https://stackoverflow.com/questions/45662736
复制相似问题