我有个小圆点:
ggplot(mpg, aes(drv, hwy)) +
geom_dotplot(binwidth = 1, binaxis = 'y', stackdir = 'center')它呈现为

我想由制造商给这些点涂上颜色。如果我添加一个fill美学:
ggplot(mpg, aes(drv, hwy, fill = manufacturer)) +
geom_dotplot(binwidth = 1, binaxis = 'y', stackdir = 'center')它呈现为

看起来,添加颜色在某种程度上击败了叠加算法,导致点重叠。我该怎么解决这个问题?
发布于 2017-08-01 18:29:50
这是我得到的最接近的:
ggplot(mpg, aes(drv, hwy, fill = manufacturer)) +
geom_dotplot(stackdir = "centerwhole",stackgroups = TRUE,
binpositions = "all", binaxis = "y", binwidth = 1)+
theme_bw()

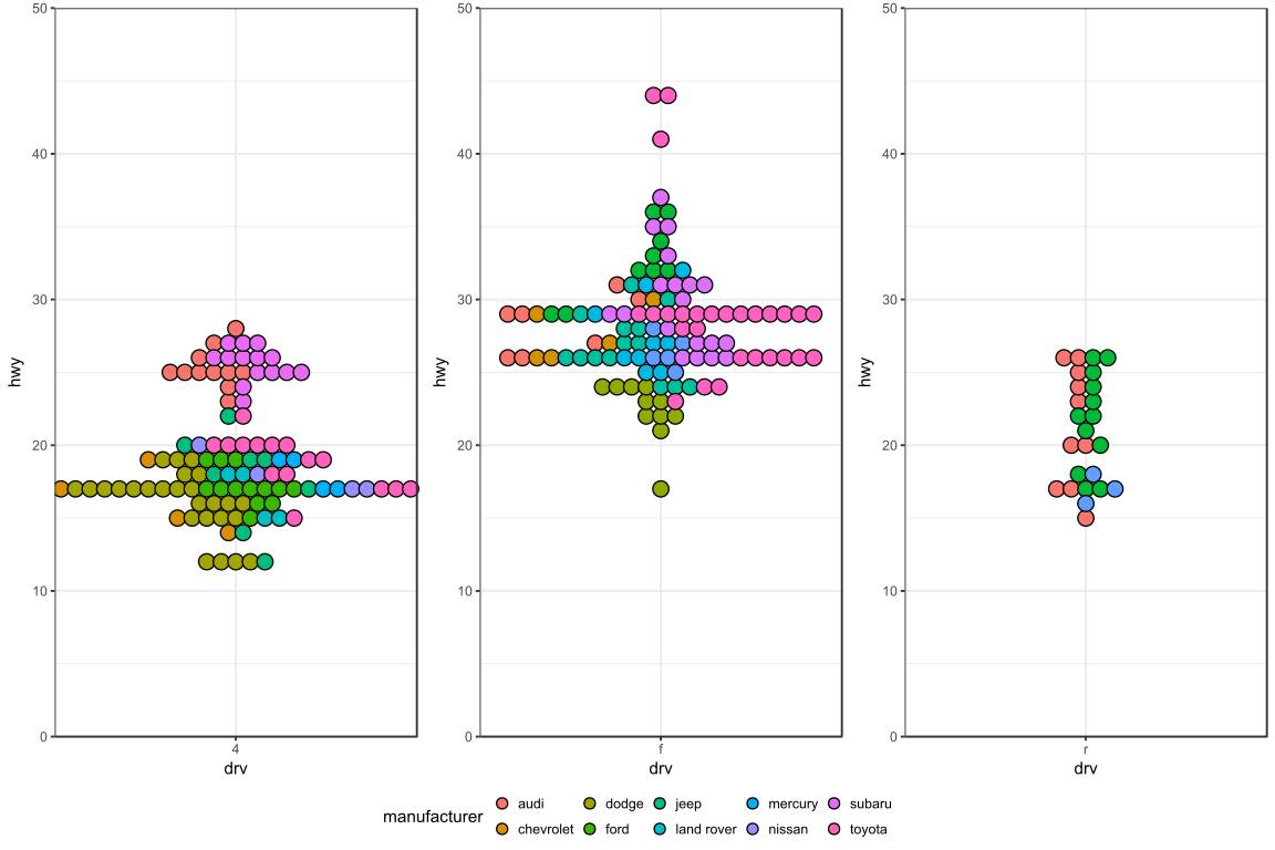
如果您需要一切都以完美的中心为中心,我将检查编写一个this example循环来绘制三个单独的图表(每个要素级别一个),使用一个共享的图例。
编辑:
下面是使用一个函数将三个情节与相同的图例组合在一起的链接过程的图表:

发布于 2017-08-01 20:18:50
使用来自包ggbeeswarm的geom_beeswarm是一个选项。它并不是用同样的方式对偶数行点进行居中,但是点颜色似乎比geom_dotplot更好。
library(ggbeeswarm)
ggplot(mpg, aes(drv, hwy, color = manufacturer)) +
geom_beeswarm(size = 2)

https://stackoverflow.com/questions/45444848
复制相似问题