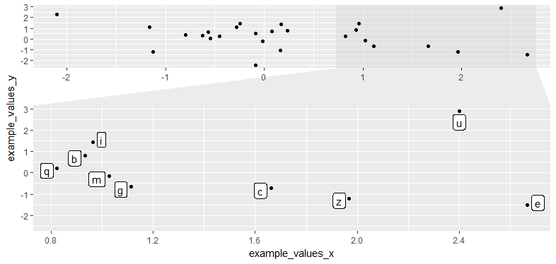
我想在散点图中标记点,但只标记在facet_zoom面板中的点。下面是一个示例:
library(ggplot2)
library(ggforce)
library(ggrepel)
library(magrittr)
labels <- letters
example_values_x <- rnorm(26)
example_values_y <- rnorm(26)
df <- data.frame(labels,
example_values_x,
example_values_y)
df %>% ggplot(aes(y = example_values_y,
x = example_values_x)) +
geom_point() +
facet_zoom(x = example_values_x > 0.5) +
geom_label_repel(data = filter(df, example_values_x > 0.5), aes(label = labels))知道怎么做吗?这样标签就不会出现在非缩放面板上了吗?
发布于 2018-04-19 18:02:00
注意:下面的答案适用于 ggforce的GitHub版本。在编写这篇文章时,CRAN上的版本对于似乎有不同的接口,尽管包版本是相同的。
首先,获取被标记的数据子集,并添加一个zoom列,指定数据是在缩放面板(TRUE)、原始面板(FALSE)还是两者(NA)中呈现:
dftxt <- dplyr::filter(df, example_values_x > 0.5) %>%
dplyr::mutate( zoom = TRUE ) ## All entries to appear in the zoom panel only现在,您可以将这个新的数据框架传递给geom_label_repel,同时告诉facet_zoom()使用zoom列来确定数据应该绘制的位置:
df %>% ggplot(aes(y = example_values_y,
x = example_values_x)) +
geom_point() +
facet_zoom(x = example_values_x > 0.5, zoom.data=zoom) + # Note the zoom.data argument
geom_label_repel(data = dftxt, aes(label = labels))请注意,由于原始df没有zoom列,facet_zoom()将视其为NA,并按需要在两个面板中绘制geom_point():

https://stackoverflow.com/questions/45221783
复制相似问题