我正在学习形式语言和计算理论,以及在绘制有限自动机方面的新知识。因此,我想问一下如何绘制FA或NFA:
b*(ab) * a*
发布于 2017-07-15 10:11:48
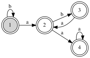
简化的自动机是这样的:

其中1是起始状态,所有状态都接受状态。它需要在一个“垃圾”状态下完成,所有缺失的过渡都将在那里进行。
发布于 2022-08-25 07:00:58
这里我画了一个简单易懂的NFA来演示这个问题的解决方案
图1

https://stackoverflow.com/questions/45081195
复制相似问题