我有一套水表,供用户使用,用geojson绘制,并用ol3可视化。对于每一个消费者的房子,我有他们的用水在给定的一年,也是水管系统是作为线串,元数据的每个管段的直径。
什么是最低要求的信息,我需要能够可视化/计算出,当管道有内环/圆圈时,每年通过每个管道的水量。
是否有一个库可以方便地在javascript中进行计算。
朴素的方法,从每栋房子开始,移动到第一个管道连接处,并添加用过的材料测量,作为水出路口,并继续到水厂到达为止。如果管道系统中没有回路,这是可行的。
发布于 2017-05-16 14:12:54
这听起来更像是物理或土木工程问题,而不是编程问题。
但据我所知,源和汇都需要时间序列数据。
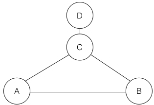
考虑一下这个简单的网络:

比如说,A是一个源,B和D是汇/出口。如果给出了B的流量,则CB中的流将取决于流出D的流量。
因此,例如,如果B和D总是同时打开的话,已经通过的总容量可能接近于0。相反,如果B和D从来没有同时打开,那么这个数字可能等于流过x-AB的体积。
如果你能得到时间序列数据,那么你就有了通过D和B的流量的并发值,我认为会有一种标准的方法来确定通过CB的流。
维基百科的管网分析文章提到了这样一种方法:Hardy交叉法,它:
“假定进出系统的流量已知,管道长度、直径、粗糙度和其他关键特性也已知或可以假定”。
如果时间序列数据不是一种选择,我会假装它总是平均的(如果有一个大的网络,就像你的图像中的那样,这可能不是那么糟糕),然后做同样的事情。
发布于 2017-05-12 21:15:23
您可以使用Fulkerson算法来查找网络中的最大流量。要使用此算法,您需要将网络表示为具有代表房屋和边缘的节点的图形,以表示管道。
发布于 2018-08-09 03:24:08
首先,你可以通过整合对“死胡同”的需求来简化网络。接下来,您将需要压力数据在3馈送到这个网络,我认为这是从90 (mm?)的顶部进给,中心进给在63和底部进给接近50。这三个集群是由一个63毫米的向下运行,有统一的需求和压力读数在进料将足够给出的流量跨内部集群。
https://stackoverflow.com/questions/43940063
复制相似问题