你好,我试图解一个极大值的代数方程,方程有α,δ和psi作为变量。我要用psi和delta来解α方程。我试着使用解题命令,但我是从alpha的角度获得alpha。
下面是解题的方程式。

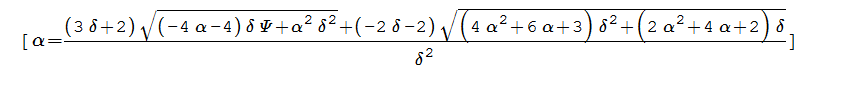
这是maxima的输出

。
这是我正在尝试的代码->
solve([(sqrt(-4*alpha*delta*psi-4*delta*psi+alpha^2*delta^2)/(delta^2+delta)-(alpha*delta/(delta^2+delta)))/2-sqrt(4*alpha^2*delta^2+6*alpha*delta^2+3*delta^2+2*alpha^2*delta+4*alpha*delta+2*delta)/(3*delta^2+2*delta)+alpha*delta/(3*delta^2+2*delta)=0],alpha);谢谢
发布于 2017-04-25 09:35:43
这个代数方程的问题是,它涉及平方根,或根和正规多项式,而这类方程并不容易解决,请看这个方程:
(%i30) solve(x=sqrt(x+6),x);
(%o30) x = sqrt{x+6} 所以Maxima不返回任何值,但是其他软件Mathematica会返回。让我们把方程的两边都正方形,然后试着解决它
(%i31) solve(x^2=x+6,x);
(%o31) x=3 , x=-2我们得到两个解,让我们试着用第一个方程:
3 = sqrt(3+6) => 3 = sqrt(9) => 3 = 3
-2 = sqrt(-2+6) => -2 = sqrt(4) => -2 = 2 ??????所以第二个解决方案无效,
Macsyma/Maxima中的maxima解决程序通常避免产生错误解的方法,如“正方形两边”。它可能仍然会犯错误,因为除以看似非零的表达式,但实际上是零,也许还有其他类似的情况。
从这个邮寄名单
在您的例子中,我将考虑方程以得到一个简化的版本,但是对于那些自由变量,这将很困难,因此,尝试为psi和增量假设一些值:
(%i26) solve(factor((sqrt(-4*alpha*delta*psi-4*delta*psi+alpha^2*delta^2)/(delta^2+delta)-(alpha*delta/(delta^2+delta)))/2-sqrt(4*alpha^2*delta^2+6*alpha*delta^2+3*delta^2+2*alpha^2*delta+4*alpha*delta+2*delta)/(3*delta^2+2*delta)+alpha*delta/(3*delta^2+2*delta))=0,alpha);
(\%o26) \left[ \alpha=\ifrac{\left(3\,\delta+2\right)\,\isqrt{\left(-4\,\alpha-4\right)\,\delta\,\psi+\alpha^2\,\delta^2}+\left(-2\,\delta-2\right)\,\isqrt{\left(4\,\alpha^2+6\,\alpha+3\right)\,\delta^2+\left(2\,\alpha^2+4\,\alpha+2\right)\,\delta}}{\delta^2} \right] 展开你的方程,试着去掉平方根或一些假设:
Equation : (sqrt(-4*alpha*delta*psi-4*delta*psi+alpha^2*delta^2)/(delta^2+delta)-(alpha*delta/(delta^2+delta)))/2-sqrt(4*alpha^2*delta^2+6*alpha*delta^2+3*delta^2+2*alpha^2*delta+4*alpha*delta+2*delta)/(3*delta^2+2*delta)+alpha*delta/(3*delta^2+2*delta);https://stackoverflow.com/questions/43476211
复制相似问题