给定一个二进制分类问题:

有四个积极的例子和五个消极的例子。因此,P(+) = 4/9,P(−) = 5/9。训练样本的熵为−4/9 log2(4/9)−5/9−(5/9)= 0.9911。
对于a3,它是一个连续属性,我希望为每一个拆分找到信息增益。
所以我按升序对a3值进行排序,找出它们的分裂点。但是如何计算它们的熵呢?
答案是:

上述图像中的信息增益列仅为0.9911 -熵.
但是我怎么找到熵呢?
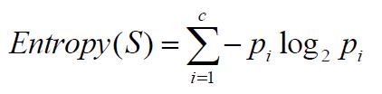
熵的公式是:

但我不明白如何用这个公式来求分裂点的熵。
发布于 2017-03-24 09:53:18
例如,当您通过a3 = 3.5拆分数据时,您的两个实例被分成一个实例,其余的7个实例进入另一个实例。你应该计算每个分裂的熵,然后对这两个熵做一个加权平均值。对于a3 = 3.5,python中的以下代码为您执行此操作:
import numpy as np
entropy1 = -(1/2)*np.log2(1/2) - (1/2)*np.log2(1/2)
entropy2 = -(3/7)*np.log2(3/7) - (4/7)*np.log2(4/7)
entropy = (2/9)*entropy1 + (7/9)*entropy2https://stackoverflow.com/questions/42995958
复制相似问题