从cp中选择rpart()函数中的复杂性参数( rpart )和方法的规则是什么?我读过几篇关于这个包裹的文章,但内容太技术性了,我无法理解。
示例:
rpart_1 <- rpart(myFormula, data = kyphosis,
method = "class",
control = rpart.control(minsplit = 0, cp = 0))
plotcp(rpart_1)
printcp(rpart_1)发布于 2017-03-17 03:42:21
通常不会选择method参数;它是作为解决问题的一部分为您选择的。如果是分类问题,则使用method="class",如果是回归问题,则使用method="anova"等等。当然,这意味着您必须了解您要解决的问题是什么,以及您的数据是否会让您解决它。
cp参数控制拟合树的大小。您可以通过交叉验证或使用单独的测试数据集来选择其值。在处理这个问题上,rpart与大多数其他R建模包有些不同。默认情况下,rpart函数会自动进行交叉验证。然后检查模型以查看交叉验证的结果,并在此基础上对模型进行修剪。
已工作的示例,使用MASS::Boston数据集:
library(MASS)
# does 10-fold CV by default
Bos.tree <- rpart(medv ~ ., data=Boston, cp=0)
# look at the result of the CV
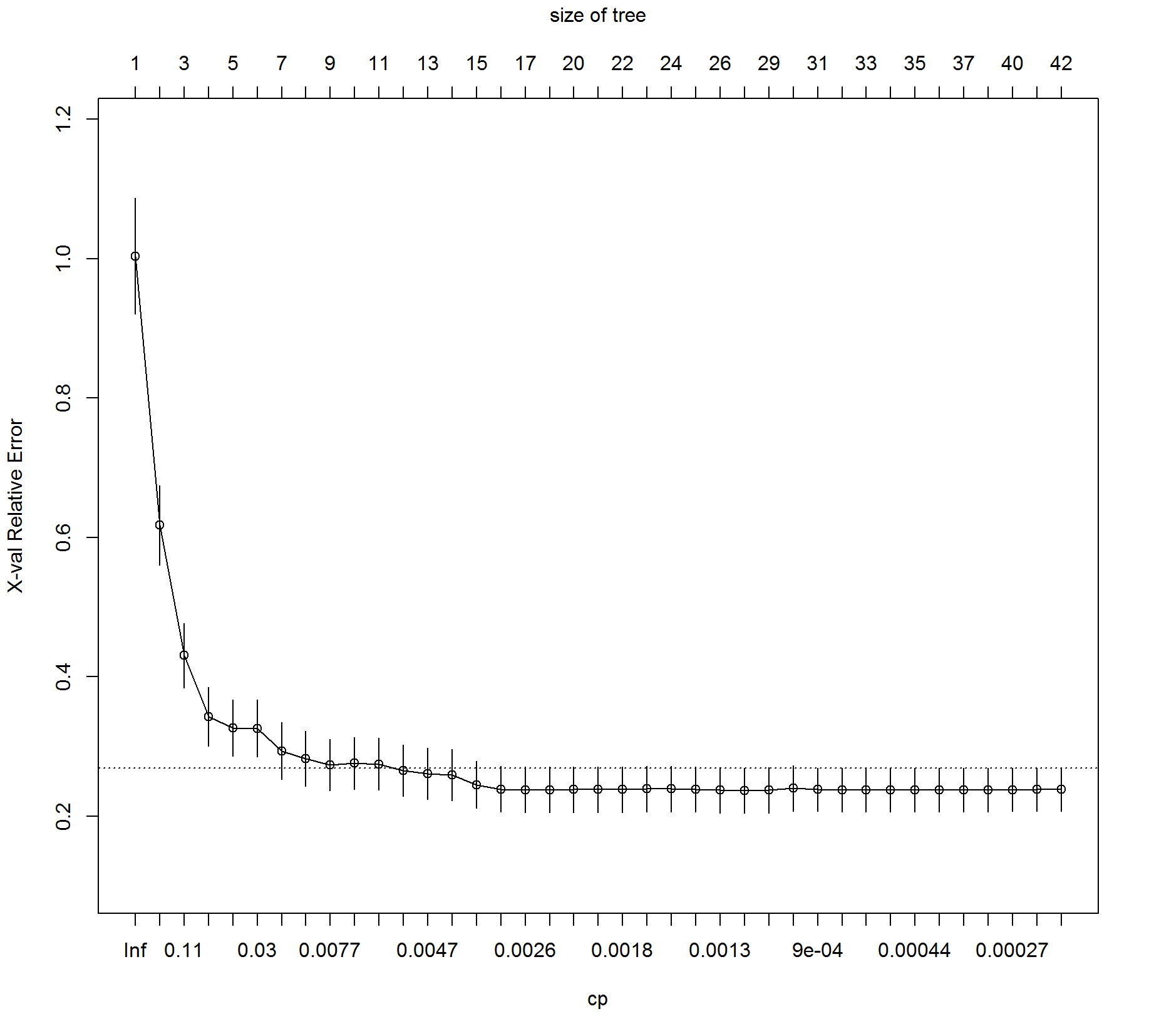
plotcp(Bos.tree)

图中显示,10倍交叉验证的误差从大约9个叶节点的树大小开始变平。虚线是曲线的最小值加上1标准误差,这是剪枝决策树的标准经验规则:您选择最小树的大小在最小的1 SE以内。
打印CP值可以更精确地查看如何选择树的大小:
printcp(Bos.tree)
#CP nsplit rel error xerror xstd
#1 0.45274420 0 1.00000 1.00355 0.082973
#2 0.17117244 1 0.54726 0.61743 0.057053
#3 0.07165784 2 0.37608 0.43034 0.046596
#4 0.03616428 3 0.30443 0.34251 0.042502
#5 0.03336923 4 0.26826 0.32642 0.040456
#6 0.02661300 5 0.23489 0.32591 0.040940
#7 0.01585116 6 0.20828 0.29324 0.040908
#8 0.00824545 7 0.19243 0.28256 0.039576
#9 0.00726539 8 0.18418 0.27334 0.037122
#10 0.00693109 9 0.17692 0.27593 0.037326
#11 0.00612633 10 0.16999 0.27467 0.037310
#12 0.00480532 11 0.16386 0.26547 0.036897
# . . .这表明CP值为0.00612对应于一棵有10个分裂(因此是11个叶)的树。这是您用来修剪树的cp的值。所以:
# prune with a value of cp slightly greater than 0.00612633
Bos.tree.cv <- prune(Bos.tree, cp=0.00613)https://stackoverflow.com/questions/42826219
复制相似问题