首页
学习
活动
专区
圈层
工具
发布
社区首页 >问答首页 >用零替换足够小的值的快速方法

用零替换足够小的值的快速方法
EN

Stack Overflow用户
提问于 2017-02-07 16:43:38
回答 2查看 2.2K关注 0票数 3

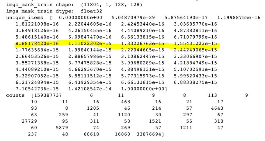
我创建了一个多维数组,其信息如下所示。

可以看出,有许多价值是相当小的。事实上,它们都应该等于零。有没有什么快速的方法,用0代替那些很小的值(例如,<=e-10)。谢谢。

EN

回答 2

Stack Overflow用户

回答已采纳

发布于 2017-02-07 16:48:06

您可以通过以下参数使用圆法

代码语言:javascript
复制
arr[j][i] = round(arr[j][i], 10) 

取10位数(e^-10)

numpy还为此提供了一个方法,用于对整个数组进行舍入。

代码语言:javascript
复制
numpy.around(arr,10,arr)
票数 -1
EN

Stack Overflow用户

发布于 2017-02-07 16:53:22

有什么问题

代码语言:javascript
复制
 data[data<threshold] = 0
票数 4
EN
页面原文内容由Stack Overflow提供。腾讯云小微IT领域专用引擎提供翻译支持
原文链接:

https://stackoverflow.com/questions/42095383

复制
相关文章

相似问题

领券
问题归档专栏文章快讯文章归档关键词归档开发者手册归档开发者手册 Section 归档