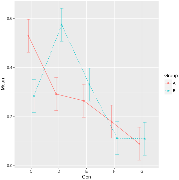
我正在使用ezPlot从ez包在R绘制结果的混合内部和之间的-ss设计。来自两个组的数据点有重叠,因此我想同时抖动数据点和相关的错误栏。
data<-structure(list(Sub = structure(c(2L, 2L, 2L, 2L, 2L, 2L, 2L,
2L, 2L, 2L, 2L, 2L, 4L, 4L, 4L, 4L, 4L, 4L, 4L, 4L, 4L, 4L, 4L,
4L, 3L, 3L, 3L, 3L, 3L, 3L, 3L, 3L, 3L, 3L, 3L, 3L, 1L, 1L, 1L,
1L, 1L, 1L, 1L, 1L, 1L, 1L, 1L, 1L), .Label = c("WW", "XX", "YY",
"ZZ"), class = "factor"), DepVar = c(0.67, 0.35, 0.09, 0.2, 0.19,
0.13, 0.45, 0.23, 0.08, 0.32, 0.17, 0.18, 0.67, 0.36, 0.55, 0.4,
0.37, 0.05, 0.26, 0.11, 0.08, 0.46, 0.29, 0.18, 0.16, 0, 0.38,
0.22, 0.08, 0.1, 0.54, 0.17, 0.07, 0.38, 0.75, 0.87, 0.27, 0.57,
0.31, 0.28, 0.07, 0.12, 0.75, 0.33, 0.23, 0.33, 0.26, 0.18),
Group = structure(c(1L, 1L, 1L, 1L, 1L, 1L, 1L, 1L, 1L, 1L,
1L, 1L, 1L, 1L, 1L, 1L, 1L, 1L, 1L, 1L, 1L, 1L, 1L, 1L, 2L,
2L, 2L, 2L, 2L, 2L, 2L, 2L, 2L, 2L, 2L, 2L, 2L, 2L, 2L, 2L,
2L, 2L, 2L, 2L, 2L, 2L, 2L, 2L), .Label = c("A", "B"), class = "factor"),
Con = structure(c(1L, 3L, 3L, 3L, 4L, 5L, 2L, 3L, 4L, 1L,
2L, 3L, 1L, 3L, 3L, 3L, 4L, 5L, 2L, 3L, 4L, 1L, 2L, 3L, 1L,
3L, 3L, 3L, 4L, 5L, 2L, 3L, 4L, 1L, 2L, 3L, 1L, 3L, 3L, 3L,
4L, 5L, 2L, 3L, 4L, 1L, 2L, 3L), .Label = c("C", "D", "E",
"F", "G"), class = "factor")), .Names = c("Sub", "DepVar",
"Group", "Con"), class = "data.frame", row.names = c(NA, -48L))
ezPlot( data,
dv = .(DepVar),
wid = .(Sub), # subject
within = .(Con),
between=.(Group),
split=.(Group),
do_bars=TRUE,
type = 2,
x = .(Con))

一个非典雅的技巧是如此设置比例颜色手册白色,使底层数据点消失,然后使用geom-point位置道奇(0.4)。
ezPlot( data,
dv = .(DepVar),
wid = .(Sub), # subject
within = .(Con),
between=.(Group),
split=.(Group),
do_bars=TRUE,
type = 2,
x = .(Con))+
scale_color_manual(values=c("white", "white"))+
geom_point(aes(fill=Group), color="black", pch= 21, size= 3, position=position_dodge(0.4))+
geom_line(aes(group = Group), lty = 3, lwd = 1.3, color='black')

但是,我希望绘制错误栏,我不知道如何实现这一点,也不知道其他解决方法是否可行。我想坚持爱兹图。谢谢!
发布于 2016-10-08 10:33:19
一种方法是使用set print_code = TRUE,生成要绘制的数据,以及ggplot代码:
library(ggplot2)
stats <- ezPlot( data,
dv = .(DepVar),
wid = .(Sub), # subject
within = .(Con),
between=.(Group),
split=.(Group),
do_bars=TRUE,
type = 2,
x = .(Con),
print_code = TRUE)然后,手动修改代码以将position = position_dodge(0.4)添加到每个geom,然后运行ggplot代码。
做同样事情的一个更有效的方法是将代码作为字符向量进行capture.output,使用gsub添加position = position_dodge(0.4),然后对修改后的代码进行eval(parse(text = ...)):
gg_code <- capture.output(stats <- ezPlot( data,
dv = .(DepVar),
wid = .(Sub), # subject
within = .(Con),
between=.(Group),
split=.(Group),
do_bars=TRUE,
type = 2,
x = .(Con),
print_code = TRUE))
gg_code <- gsub("alpha", "position = position_dodge(0.4), alpha", gg_code)
eval(parse(text = paste(gg_code, collapse = "")))输出:

https://stackoverflow.com/questions/39930560
复制相似问题