我试图在一个面板中绘制一个堆叠的条形chart+2方式交互,其中包括4个实验的相同图表。但是,根据自变量之一,我无法躲开条形条。下面是我的数据。
首先,我通过下面的代码读取数据。
a<-read.table(file.choose(), header=T, dec=",")
Exp. Gest lag Sint12 Rev12 c12 t1pi t2pi t1i t2i IntWeak inc Total
1 1 1 15,88 3,28 22,52 11,76 4,08 2,28 16,76 3,24 20,2 100
1 1 3 0,88 1,2 61,36 11,84 8,4 1,84 2,32 0,8 11,36 100
1 1 8 0,24 0,24 65,2 10,24 9,2 1,84 2,4 0,48 10,16 100
1 2 1 14,96 4 25,28 15,12 1,92 0,68 16,8 1,56 19,68 100
1 2 3 1,2 0,72 79,36 8,64 2,88 0,64 0,64 0,64 5,28 100
1 2 8 0,16 0,16 86,72 5,36 3,2 0,08 0,48 0,64 3,2 100
2 1 1 30,6 2,2 24,48 4,56 1,32 0,4 17,8 1 17,64 100
2 1 3 0,96 1,04 87,2 5,04 2,16 0,16 0,4 0,8 2,24 100
2 1 8 0,88 0,24 91,92 3,28 1,52 0 0,32 0,88 0,96 100
2 2 1 20,16 2,32 16,52 14,24 0,72 0,44 15,96 1,76 27,88 100
2 2 3 1,04 0,64 83,84 5,84 2 0,08 0,72 1,12 4,72 100
2 2 8 0,24 0 91,04 4,16 1,52 0,08 0 0,72 2,24 100
3A 1 1 35,83 3,92 27,42 2,42 2,08 0,25 7,42 3,63 17,04 100,01
3A 1 3 1,58 1 81 4,5 3,33 0,25 0,33 1,08 6,92 99,99
3A 1 8 1 0 86,92 3,17 1,75 0,08 0,42 0,33 6,33 100
3A 2 1 43,46 2,38 21,29 1,88 1,17 0,17 5,46 4,21 20 100,02
3A 2 3 2 0,75 78,67 3,75 3,25 0,17 0,83 0,92 9,67 100,01
3A 2 8 1,33 0,33 83,25 3 2,17 0 0,67 0,83 8,42 100
3B 1 1 35,5 2,54 29,33 3,04 1,88 0,54 7,46 7,46 12,25 100
3B 1 3 1,58 0,67 79,42 4,58 2,83 0,42 0,67 2,75 7,08 100
3B 1 8 0,83 0,17 88,83 3,17 2,83 0,08 0,42 0,5 3,17 100
3B 2 1 32,33 1,75 17,21 4,5 2,21 0,42 13,21 4,96 23,42 100,01
3B 2 3 2,5 0,25 67,58 8,42 4,25 0,5 1 4,58 10,92 100
3B 2 8 1 0,08 76,83 6,25 4,5 0,08 0,33 3 7,92 99,99
其次,我用下面的代码将它转换为长格式。
b <- reshape(a,
varying = c("Sint12", "Rev12", "c12", "t1pi", "t2pi", "t1i", "t2i", "IntWeak", "inc"),
v.names = "score",
timevar = "variable",
times = c("Sint12", "Rev12", "c12", "t1pi", "t2pi", "t1i", "t2i", "IntWeak", "inc"),
new.row.names = 1:1000,
direction = "long")转换后的数据如下所示:
Exp. Gest lag Total variable score id
1 1 1 1 100.00 Sint12 15.88 1
2 1 1 3 100.00 Sint12 0.88 2
3 1 1 8 100.00 Sint12 0.24 3
4 1 2 1 100.00 Sint12 14.96 4
5 1 2 3 100.00 Sint12 1.20 5
6 1 2 8 100.00 Sint12 0.16 6
7 2 1 1 100.00 Sint12 30.60 7
8 2 1 3 100.00 Sint12 0.96 8
9 2 1 8 100.00 Sint12 0.88 9
10 2 2 1 100.00 Sint12 20.16 10
11 2 2 3 100.00 Sint12 1.04 11
12 2 2 8 100.00 Sint12 0.24 12
13 3A 1 1 100.01 Sint12 35.83 13
14 3A 1 3 99.99 Sint12 1.58 14
15 3A 1 8 100.00 Sint12 1.00 15
16 3A 2 1 100.02 Sint12 43.46 16
17 3A 2 3 100.01 Sint12 2.00 17
18 3A 2 8 100.00 Sint12 1.33 18
19 3B 1 1 100.00 Sint12 35.50 19
20 3B 1 3 100.00 Sint12 1.58 20
21 3B 1 8 100.00 Sint12 0.83 21
22 3B 2 1 100.01 Sint12 32.33 22
23 3B 2 3 100.00 Sint12 2.50 23
24 3B 2 8 99.99 Sint12 1.00 24
我想要的是;4样地(每个实验),2.用Gest和延迟制作交互图。第三,用变量的颜色填充堆栈。
为了做到这一点,我使用了下面的代码。
))+geom_bar(stat="identity")+facet_wrap(~Exp.,(data=b,aes(x=interaction,Gest,ncol=2),y=score,fill = variable,ncol=2)
绘图
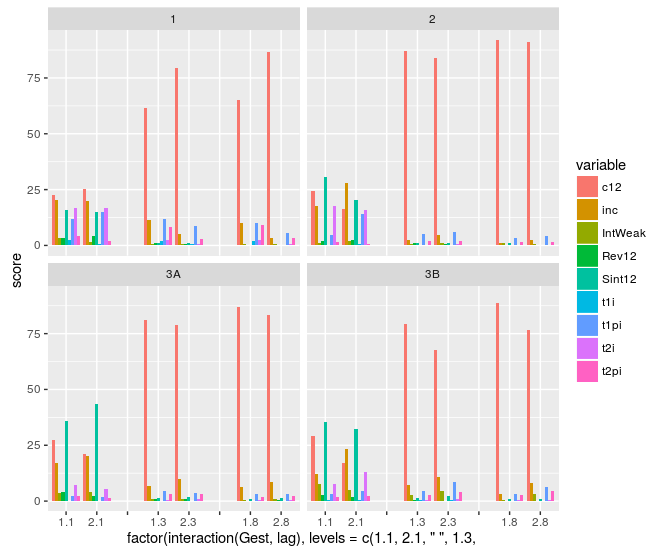
现在,阴谋已经准备好了。但是,当我将position=dodge参数传递给geom_bar时,它不起作用。我想要一个在1.1&2.1;1.3&2.3和1.8&2.8 (X轴标签)之间没有差距的地块。此外,我希望指定1..3和.8之间的差距。
提前谢谢。
发布于 2016-10-03 16:18:27
你所说的“不起作用”是什么意思?当我加进去的时候,我得到了一个正确地避开栏杆的情节。
如果您只是想修改间距,您可以通过向沿x绘制的因子添加额外(空)级别来实现这一点。请注意,每个附加级别中有不同的空格数:
ggplot(data=b
, aes(x= factor(interaction(Gest, lag)
, levels = c(1.1,2.1," ",1.3,2.3," ",1.8,2.8))
,y=score, fill = variable)) +
geom_bar(stat="identity", position = "dodge") +
facet_wrap(~Exp., ncol=2) +
scale_x_discrete(drop = FALSE)

如果使用cowplot包,还可以再走几步。这里的优点是,如果您分别制作每个实验图,您就可以对lag变量执行面化操作。然后,你可以把它们缝在一起。在这里,我压制了个人传说,并在底部添加了一个共同的传说。
sepPlots <- lapply(unique(b$Exp.), function(thisExp){
b %>%
filter(Exp. == thisExp) %>%
ggplot(aes(x = as.factor(Gest)
, y = score
, fill = variable)) +
geom_bar(stat="identity", position = "dodge") +
facet_wrap(~lag, nrow = 1
, labeller = label_both
, switch = "x") +
xlab("Gest") +
ggtitle(paste("Experiment:", thisExp))
})
expPlots <-
plot_grid(plotlist = lapply(sepPlots, function(x){x + guides(fill = "none")}))
plot_grid(expPlots
, get_legend(sepPlots[[1]] + theme(legend.direction = "horizontal"))
, nrow = 2
, rel_heights = c(1, 0.1))

https://stackoverflow.com/questions/39832536
复制相似问题