我试图用一个数据显示一个变量是如何作为另一个变量的函数变化的。每个变量都有一个与其关联的错误。下面是我拥有的数据的子集: ID列、变量(SiO2到FeO)以及与变量(*_2stdev)关联的错误:
df<-structure(list(ID = structure(c(3L, 4L, 6L, 1L, 2L, 10L), .Label = c("P466-an1", "P466-an2", "P468-an1", "P468-an2", "P469-an1", "P470-an1", "P471-an1", "P472-an1", "P473-an1", "P474-an1", "P475-an1", "P475-an2", "P476-an1", "P476-an2", "P477-an1", "P478-an1", "P479-an1", "P480-an1"), class = "factor"),
SiO2 = c(54.5147, 56.2223, 52.8499, 52.0293, 53.4221, 52.9802),
TiO2 = c(0.5928, 0.5792, 0.5771, 1.1373, 1.0962, 1.1535),
Al2O3 = c(17.5404, 18.1921, 19.4737, 15.7752, 16.455, 16.4117),
FeO = c(6.2115, 5.8676, 5.4874, 4.5952, 4.4242, 4.109),
SiO2_2stdev = c(1.5232, 2.3578, 0.6374, 1.3331, 0.6535, 0.6977),
TiO2_2stdev = c(0.0638, 0.0637, 0.0357, 0.1024, 0.0422, 0.0282),
Al2O3_2stdev = c(0.4519, 0.4572, 0.2044, 0.6378, 0.6546, 0.0624),
FeO_2stdev = c(0.426, 0.3973, 0.1145, 0.1992, 0.1106, 0.0427)),
.Names = c("ID", "SiO2", "TiO2", "Al2O3", "FeO", "SiO2_2stdev", "TiO2_2stdev", "Al2O3_2stdev", "FeO_2stdev"),
row.names = c(NA, 6L), class = "data.frame")使用以下代码:
library(reshape2)
library(ggplot2)
m.df<-melt(df, id=c('ID','FeO'))
p<-ggplot(subset(m.df, variable %in% c('SiO2','TiO2','Al2O3')),aes(x=value, y=FeO))+
geom_point()+
facet_wrap(~ variable, ncol=1, scales="free_x")+
theme_bw()
p我知道这个情节:

我想添加错误条(垂直和水平)到这个,但我不知道如何在一个面的情节。
使用geom_errorbar和geom_errorbarh,我能够从未熔掉的数据from中为单个图绘制这些图。我想我可以用一个循环来制作所有的情节,但是我不知道如何用这个方法来添加错误条。此外,我想一次看到所有的情节。
感谢您的阅读,并对您的帮助表示极大的感谢!-R
根据史密斯的评论,编辑,我在melt中的ID变量中添加了FeO_2stdev。我现在可以用correc垂直错误条制作一个情节。因此,现在我很难理解如何让geom_errorbarh为每个图绘制正确的错误条。
下面是我正在使用的更新代码,以及生成的图。
library(reshape2)
library(ggplot2)
m.df<-melt(df, id=c('ID','FeO', 'FeO_2stdev'))
m.df$y.min<-m.df$FeO-m.df$FeO_2stdev
m.df$y.max<-m.df$FeO+m.df$FeO_2stdev
p<-ggplot(subset(m.df, variable %in% c('SiO2','TiO2','Al2O3')), aes(x=value, y=FeO))+
geom_point()+
facet_wrap(~ variable, ncol=1, scales="free_x")+
theme_bw()+
geom_errorbar(aes(ymin=y.min, ymax=y.max))
p

发布于 2016-08-01 21:18:23
拥有一列值和一列2标准偏差的数据集将有助于处理水平错误条。这本质上是一个数据操作问题。要实现这一目标,有许多方法。我在用tidyr和dplyr。
例如,如果在熔化后立即开始使用m.df,则可以
separate表示值,然后使用if_else表示mutate。spread数据集返回到一个宽格式,其中一个列表示值,另一个列表示两个标准差。如果您已经熟悉dcast,也可以使用来自reshape2的它。图书馆(Dplyr)库(Tidyr)
m.df %>%
separate(variable, c("variable", "metric")) %>%
mutate(metric = if_else(is.na(metric), "value", metric)) %>%
spread(metric, value)
ID FeO FeO_2stdev variable 2stdev value
1 P466-an1 4.5952 0.1992 Al2O3 0.6378 15.7752
2 P466-an1 4.5952 0.1992 SiO2 1.3331 52.0293
3 P466-an1 4.5952 0.1992 TiO2 0.1024 1.1373
4 P466-an2 4.4242 0.1106 Al2O3 0.6546 16.4550
5 P466-an2 4.4242 0.1106 SiO2 0.6535 53.4221
...下面是使用来自tidyr的gather而不是melt实现相同结果的整个过程:
df2 = df %>%
gather(key, value, -ID, -contains("FeO")) %>%
separate(key, c("variable", "metric")) %>%
mutate(metric = if_else(is.na(metric), "value", metric)) %>%
spread(metric, value)现在,可以使用value和2stdev将水平错误条添加到绘图中。注意,列名2stdev在语法上是不正确的,所以我在变量名周围使用backticks。
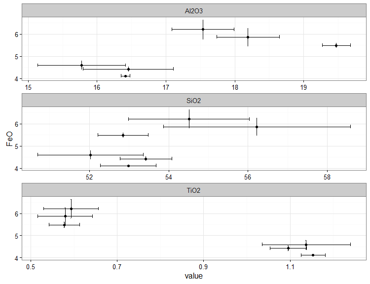
ggplot(df2, aes(x=value, y=FeO))+
geom_point()+
facet_wrap(~ variable, ncol=1, scales="free_x")+
theme_bw() +
geom_errorbar(aes(ymin = FeO - FeO_2stdev, ymax = FeO + FeO_2stdev)) +
geom_errorbarh(aes(xmin = value - `2stdev`, xmax = value + `2stdev`))

https://stackoverflow.com/questions/38707015
复制相似问题