我试图在R中选择一个函数
当只估计mu参数时,该函数是负二项式的似然函数。这不应该是一个问题,因为函数显然只有一个最大点。但是,我无法达到理想的结果。
需要改进的功能是:
EMV <- function(data, par) {
Mi <- par
Phi <- 2
N <- NROW(data)
Resultado <- log(Mi/(Mi + Phi))*sum(data) + N*Phi*log(Phi/(Mi + Phi))
return(Resultado)
}数据是参数为2和2的负二项式变量的向量。
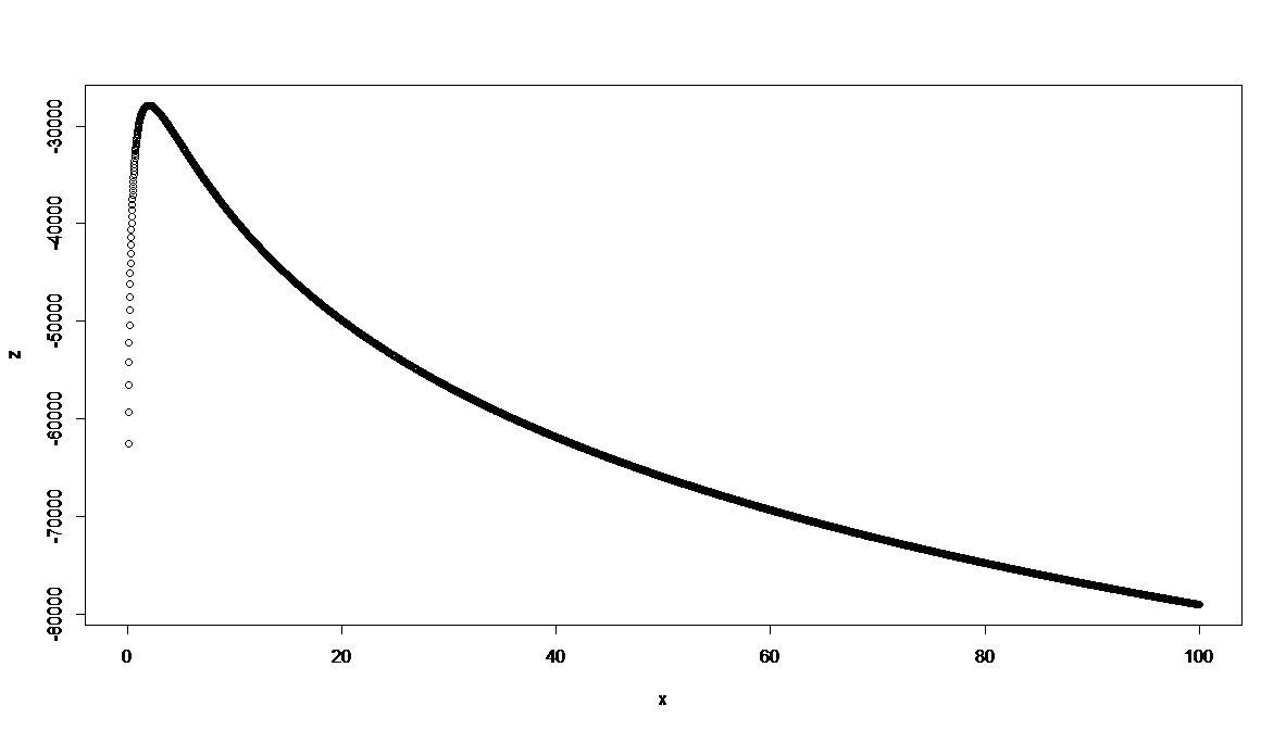
data <- rnegbin(10000, mu = 2, theta = 2)当我用以下代码绘制以mu作为变量的函数时:
x <- seq(0.1, 100, 0.02)
z <- EMV(data,0.1)
for (aux in x) {z <- rbind(z, EMV(data,aux))}
z <- z[2:NROW(z)]
plot(x,z)我得到了以下曲线:

且z的最大值接近于参数值->2。
x[which.max(z)]但是优化并不适用于BFGS。
Error in optim(par = theta, fn = EMV, data = data, method = "BFGS") :
non-finite finite-difference value [1]如果使用SANN,则无法获得正确的值,例如:
$par
[1] 5.19767e-05
$value
[1] -211981.8
$counts
function gradient
10000 NA
$convergence
[1] 0
$message
NULL问题如下:
optim,param应该大于0?optim我想要最大化函数吗?(恐怕optim正在尝试最小化,而且函数返回最小值的值非常小)发布于 2016-06-10 01:29:06
最小化还是最大化?
虽然?optim说它可以进行最大化,但那是在一个括号中,所以最小化是默认的:
fn: A function to be minimized (or maximized) ...因此,如果我们想要最大化一个目标函数,我们需要将一个-1乘以它,然后最小化它。这是一个相当普遍的情况。在统计中,我们通常希望找到最大的日志似然,所以为了使用optim(),我们别无选择,只能最小化负日志的可能性。
使用哪种方法?
如果我们只做一维最小化,我们应该使用方法"Brent"。该方法允许我们指定搜索区域的下界和上界。搜索将从一个界限开始,然后向另一个方向搜索,直到达到最小值,或者到达边界。这样的规范可以帮助您约束参数。例如,您不希望mu小于0,然后只设置lower = 0。
当我们移动到二维或更高的维度时,我们应该求助于"BFGS"。在这种情况下,如果我们想约束我们的一个参数,比如a,要成为正参数,我们需要接受日志转换log_a = log(a),并使用log_a重新参数化我们的目标函数。现在,log_a没有约束。当我们希望约束多个参数为正时,情况也是如此。
如何更改您的代码?
EMV <- function(data, par) {
Mi <- par
Phi <- 2
N <- NROW(data)
Resultado <- log(Mi/(Mi + Phi))*sum(data) + N*Phi*log(Phi/(Mi + Phi))
return(-1 * Resultado)
}
optim(par = theta, fn = EMV, data = data, method = "Brent", lower = 0, upper = 1E5)发布于 2016-06-10 01:26:34
optim的帮助文件说:“默认情况下Optim会执行最小化,但是如果控制$fnscale为负值,它将最大化。”因此,如果将函数输出乘以-1或更改控制对象输入,则应该得到正确的答案。
https://stackoverflow.com/questions/37738423
复制相似问题