我有一个多变量线性回归的工作实现,在R中使用梯度下降,我想看看我是否可以使用我必须运行的随机梯度下降。我不确定这是否真的没有效率。例如,对于α的每个值,我希望执行500个SGD迭代,并能够在每次迭代中指定随机选择的样本数。这样做会很好,这样我就可以看到样本的数量对结果的影响。我在小批次的过程中遇到了麻烦,我希望能够很容易地画出结果。
到目前为止,这就是我所拥有的:
# Read and process the datasets
# download the files from GitHub
download.file("https://raw.githubusercontent.com/dbouquin/IS_605/master/sgd_ex_data/ex3x.dat", "ex3x.dat", method="curl")
x <- read.table('ex3x.dat')
# we can standardize the x vaules using scale()
x <- scale(x)
download.file("https://raw.githubusercontent.com/dbouquin/IS_605/master/sgd_ex_data/ex3y.dat", "ex3y.dat", method="curl")
y <- read.table('ex3y.dat')
# combine the datasets
data3 <- cbind(x,y)
colnames(data3) <- c("area_sqft", "bedrooms","price")
str(data3)
head(data3)
################ Regular Gradient Descent
# http://www.r-bloggers.com/linear-regression-by-gradient-descent/
# vector populated with 1s for the intercept coefficient
x1 <- rep(1, length(data3$area_sqft))
# appends to dfs
# create x-matrix of independent variables
x <- as.matrix(cbind(x1,x))
# create y-matrix of dependent variables
y <- as.matrix(y)
L <- length(y)
# cost gradient function: independent variables and values of thetas
cost <- function(x,y,theta){
gradient <- (1/L)* (t(x) %*% ((x%*%t(theta)) - y))
return(t(gradient))
}
# GD simultaneous update algorithm
# https://www.coursera.org/learn/machine-learning/lecture/8SpIM/gradient-descent
GD <- function(x, alpha){
theta <- matrix(c(0,0,0), nrow=1)
for (i in 1:500) {
theta <- theta - alpha*cost(x,y,theta)
theta_r <- rbind(theta_r,theta)
}
return(theta_r)
}
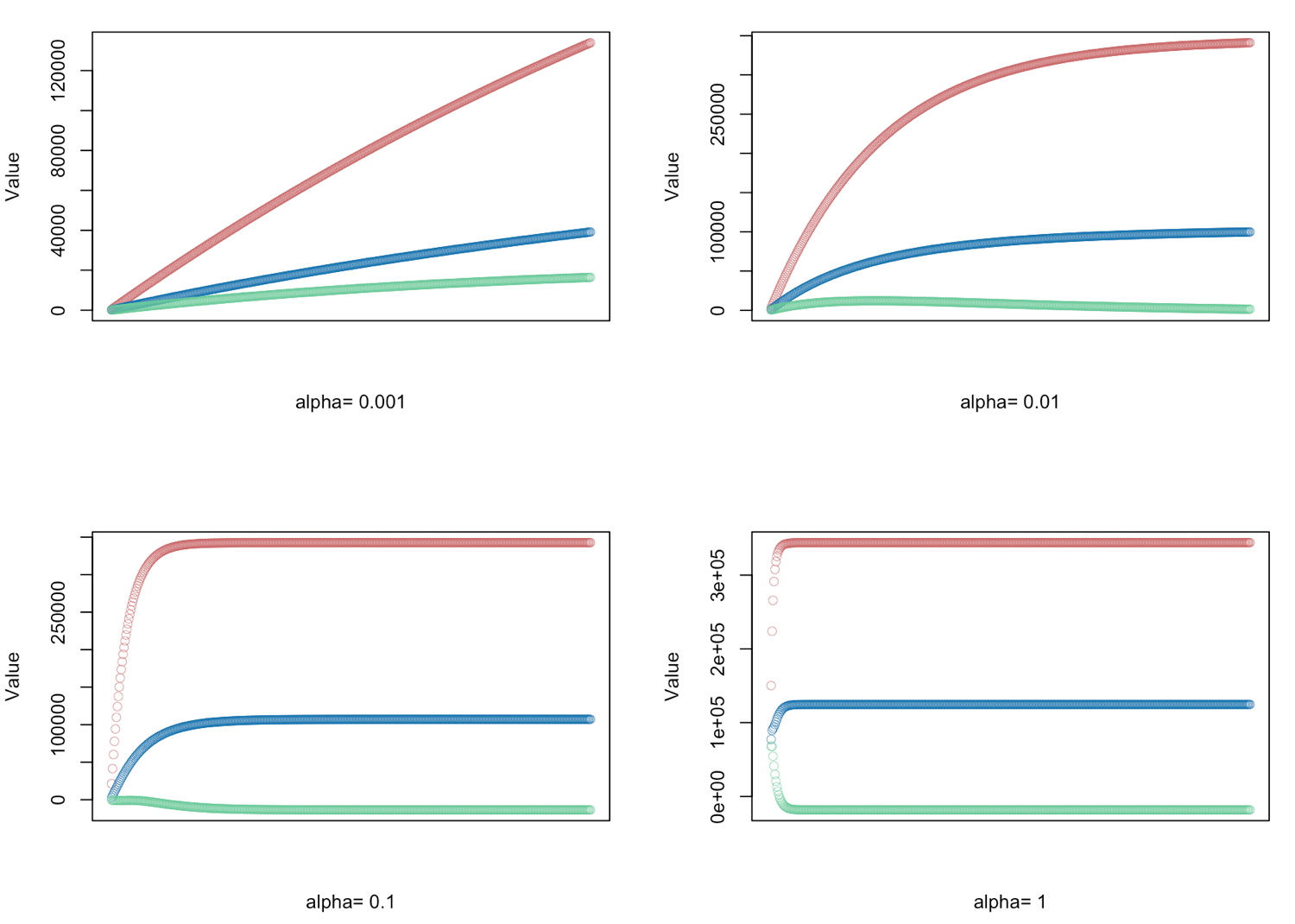
# gradient descent α = (0.001, 0.01, 0.1, 1.0) - defined for 500 iterations
alphas <- c(0.001,0.01,0.1,1.0)
# Plot price, area in square feet, and the number of bedrooms
# create empty vector theta_r
theta_r<-c()
for(i in 1:length(alphas)) {
result <- GD(x, alphas[i])
# red = price
# blue = sq ft
# green = bedrooms
plot(result[,1],ylim=c(min(result),max(result)),col="#CC6666",ylab="Value",lwd=0.35,
xlab=paste("alpha=", alphas[i]),xaxt="n") #suppress auto x-axis title
lines(result[,2],type="b",col="#0072B2",lwd=0.35)
lines(result[,3],type="b",col="#66CC99",lwd=0.35)
}找到一种使用sgd()的方法更实用吗?我似乎不知道如何在sgd包中实现所需的控制级别
发布于 2016-05-27 15:06:25
坚持你现在拥有的
## all of this is the same
download.file("https://raw.githubusercontent.com/dbouquin/IS_605/master/sgd_ex_data/ex3x.dat", "ex3x.dat", method="curl")
x <- read.table('ex3x.dat')
x <- scale(x)
download.file("https://raw.githubusercontent.com/dbouquin/IS_605/master/sgd_ex_data/ex3y.dat", "ex3y.dat", method="curl")
y <- read.table('ex3y.dat')
data3 <- cbind(x,y)
colnames(data3) <- c("area_sqft", "bedrooms","price")
x1 <- rep(1, length(data3$area_sqft))
x <- as.matrix(cbind(x1,x))
y <- as.matrix(y)
L <- length(y)
cost <- function(x,y,theta){
gradient <- (1/L)* (t(x) %*% ((x%*%t(theta)) - y))
return(t(gradient))
}我将y添加到您的GD函数中,并创建了一个包装器函数myGoD,以调用您的函数,但首先要对数据进行修改。
GD <- function(x, y, alpha){
theta <- matrix(c(0,0,0), nrow=1)
theta_r <- NULL
for (i in 1:500) {
theta <- theta - alpha*cost(x,y,theta)
theta_r <- rbind(theta_r,theta)
}
return(theta_r)
}
myGoD <- function(x, y, alpha, n = nrow(x)) {
idx <- sample(nrow(x), n)
y <- y[idx, , drop = FALSE]
x <- x[idx, , drop = FALSE]
GD(x, y, alpha)
}检查以确保它有效,并尝试使用不同的Ns。
all.equal(GD(x, y, 0.001), myGoD(x, y, 0.001))
# [1] TRUE
set.seed(1)
head(myGoD(x, y, 0.001, n = 20), 2)
# x1 V1 V2
# V1 147.5978 82.54083 29.26000
# V1 295.1282 165.00924 58.48424
set.seed(1)
head(myGoD(x, y, 0.001, n = 40), 2)
# x1 V1 V2
# V1 290.6041 95.30257 59.66994
# V1 580.9537 190.49142 119.23446下面是如何使用它
alphas <- c(0.001,0.01,0.1,1.0)
ns <- c(47, 40, 30, 20, 10)
par(mfrow = n2mfrow(length(alphas)))
for(i in 1:length(alphas)) {
# result <- myGoD(x, y, alphas[i]) ## original
result <- myGoD(x, y, alphas[i], ns[i])
# red = price
# blue = sq ft
# green = bedrooms
plot(result[,1],ylim=c(min(result),max(result)),col="#CC6666",ylab="Value",lwd=0.35,
xlab=paste("alpha=", alphas[i]),xaxt="n") #suppress auto x-axis title
lines(result[,2],type="b",col="#0072B2",lwd=0.35)
lines(result[,3],type="b",col="#66CC99",lwd=0.35)
}

您不需要包装器函数--只需稍微更改一下GD即可。向函数显式传递参数总是好的做法,而不是依赖于范围界定。在您假设y将从您的全局环境中提取之前;这里必须给出y,否则您将得到一个错误。这将避免许多头痛和错误的道路上。
GD <- function(x, y, alpha, n = nrow(x)){
idx <- sample(nrow(x), n)
y <- y[idx, , drop = FALSE]
x <- x[idx, , drop = FALSE]
theta <- matrix(c(0,0,0), nrow=1)
theta_r <- NULL
for (i in 1:500) {
theta <- theta - alpha*cost(x,y,theta)
theta_r <- rbind(theta_r,theta)
}
return(theta_r)
}https://stackoverflow.com/questions/37485138
复制相似问题