嗨,我需要帮助,以优化查询大型数据库记录超过100万。当前查询的执行时间为27-30秒。
SELECT SQL_CALC_FOUND_ROWS
candidate.candidate_id AS candidateID,
candidate.candidate_id AS exportID,
candidate.is_hot AS isHot,
candidate.date_modified AS dateModifiedSort,
candidate.date_created AS dateCreatedSort,
candidate.first_name AS firstName,
candidate.last_name AS lastName,
candidate.city AS city,
candidate.state AS state,
candidate.key_skills AS keySkills,
owner_user.first_name AS ownerFirstName,
owner_user.last_name AS ownerLastName,
CONCAT(owner_user.last_name,
owner_user.first_name) AS ownerSort,
DATE_FORMAT(candidate.date_created, '%m-%d-%y') AS dateCreated,
DATE_FORMAT(candidate.date_modified, '%m-%d-%y') AS dateModified,
candidate.email2 AS email2 FROM
candidate
LEFT JOIN
user AS owner_user ON candidate.owner = owner_user.user_id
LEFT JOIN
saved_list_entry ON saved_list_entry.data_item_type = 100
AND saved_list_entry.data_item_id = candidate.candidate_id WHERE
is_active = 1 GROUP BY candidate.candidate_id ORDER BY dateModifiedSort
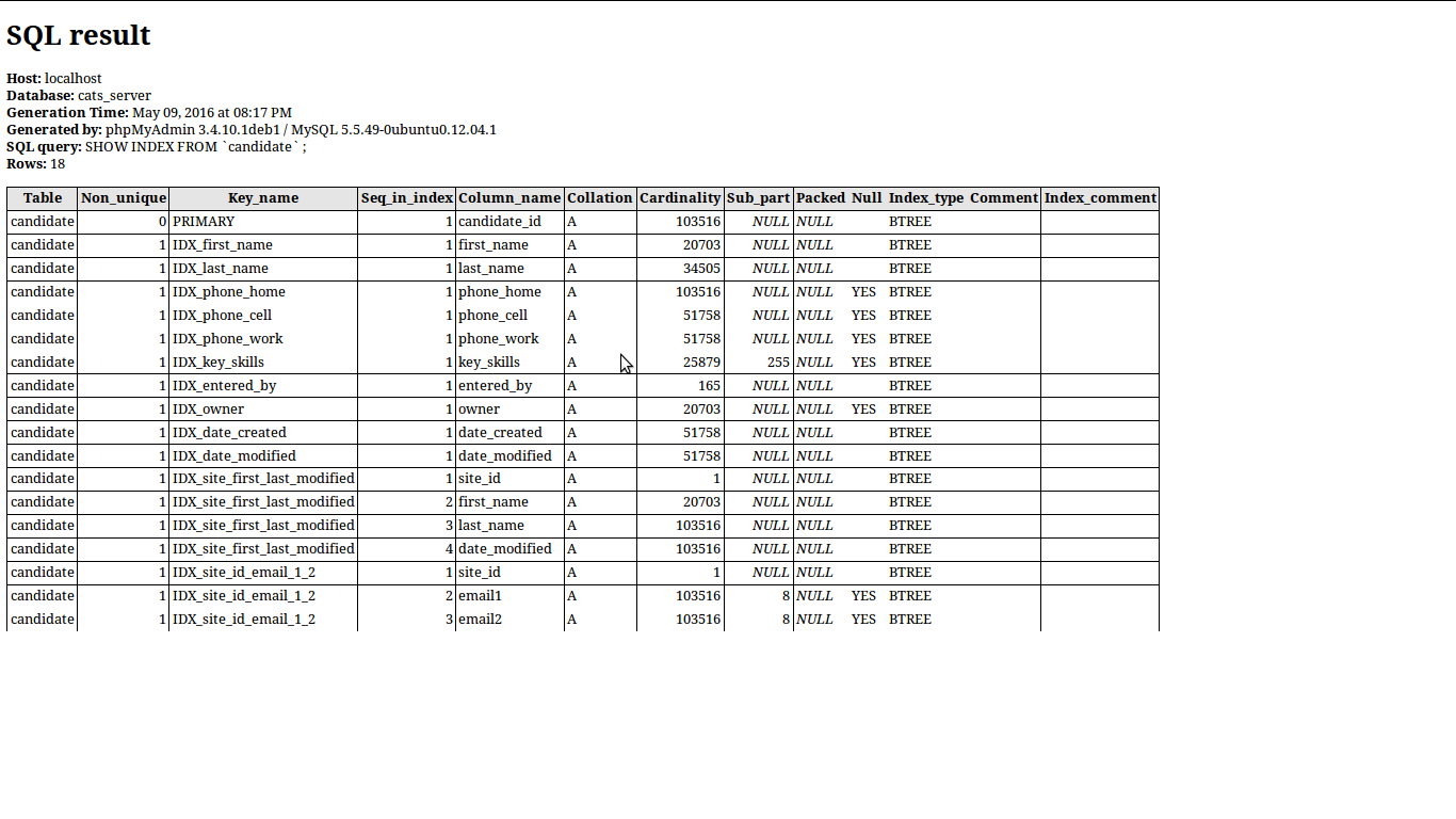
DESC LIMIT 0 , 15是否有任何方法可以缩短查询的执行时间。我还在表中添加了索引,但它不太好用。

发布于 2016-05-09 16:15:27
我在下面的查询中更改了表别名,使用它必须解决您的问题
SELECT SQL_CALC_FOUND_ROWS
candidate.candidate_id AS candidateID,
candidate.candidate_id AS exportID,
candidate.is_hot AS isHot,
candidate.date_modified AS dateModifiedSort,
candidate.date_created AS dateCreatedSort,
candidate.first_name AS firstName,
candidate.last_name AS lastName,
candidate.city AS city,
candidate.state AS state,
candidate.key_skills AS keySkills,
user.first_name AS ownerFirstName,
user.last_name AS ownerLastName,
CONCAT(user.last_name,
user.first_name) AS ownerSort,
DATE_FORMAT(candidate.date_created, '%m-%d-%y') AS dateCreated,
DATE_FORMAT(candidate.date_modified, '%m-%d-%y') AS dateModified,
candidate.email2 AS email2 FROM
candidate
LEFT JOIN
user ON candidate.owner = user.user_id
LEFT JOIN
saved_list_entry ON saved_list_entry.data_item_type = 100
AND saved_list_entry.data_item_id = candidate.candidate_id WHERE
is_active = 1 GROUP BY candidate.candidate_id ORDER BY dateModifiedSort
DESC LIMIT 0 , 15使用以下查询为联接条件创建索引
create index index_user user(user_id);
create index index_saved_list_entry saved_list_entry(data_item_type,data_item_id);
create index index_candidate candidate(is_active,candidate_id,dateModifiedSort);发布于 2016-05-09 15:16:19
您使用的是查询模式
SELECT a vast bunch of stuff
FROM a complex assembly of JOIN operations
ORDER BY some variable DESC
LIMIT 0,small number这在本质上是低效的:为了满足您的查询,MySQL服务器必须构造一个庞大的结果集,然后它必须对整个事情进行排序,然后取前十五行,然后丢弃其余的。
为了提高效率,你需要整理更少的东西。这里有个方法可以做到。看起来你想要找到最近修改过的十五位候选人。此查询将相当便宜地检索这些候选人的ID。它利用了你的一个索引。
SELECT candidate_id
FROM candidate
ORDER BY date_modified DESC
LIMIT 0, 15然后,您可以在主查询中使用它作为子查询。增加这样的一句:
WHERE candidate.candidate_id IN (
SELECT candidate_id
FROM candidate
ORDER BY date_modified DESC
LIMIT 0, 15)在适当的位置查询。
还请注意,您使用的是非标准和潜在有害的MySQL特定扩展到组。您的查询工作正常,但如果候选人有多个所有者,则在随机选择后只会返回一个。
最后,您似乎已经在大表中的许多列上放置了单列索引。这是一个臭名昭著的SQL :所有这些索引都会减慢插入和更新操作,而且其中大多数索引可能对加速查询没有任何作用。当然,对于这个查询,唯一有用的索引是date_modified上的索引和主键。
许多复杂的查询最好使用特定的多列索引。一堆单列索引对这样的查询没有帮助。
发布于 2016-05-09 18:55:07
首先,一个候选人,我怀疑总是一个条目的ID,所以你为什么要做一个组是超出我,这很可能是可以删除和改进一点。
其次,您正在对"saved_list_entry“表执行左联接,但实际上没有从其中提取任何列,因此这可能会被完全删除。
第三,从对小组的考虑出发,不再适用,我建议更新您的索引如下:
table index
CANDIDATE ( is_active, date_modified, candidate_id, owner )
user ( user_id )
saved_list_entry ( data_item_id, data_item_type )由于您的订单是按降序修改的日期,将它放在is_active的第二个位置(其中条件),它将快速地遍历您的前15个。然而,您的SQL_CALC_FOUND_ROWS仍然需要通过所有其他排位赛,但结果集将按索引预先排序以匹配。
SELECT SQL_CALC_FOUND_ROWS
c.candidate_id AS candidateID,
c.candidate_id AS exportID,
c.is_hot AS isHot,
c.date_modified AS dateModifiedSort,
c.date_created AS dateCreatedSort,
c.first_name AS firstName,
c.last_name AS lastName,
c.city AS city,
c.state AS state,
c.key_skills AS keySkills,
u.first_name AS ownerFirstName,
u.last_name AS ownerLastName,
CONCAT(u.last_name, u.first_name) AS ownerSort,
DATE_FORMAT(c.date_created, '%m-%d-%y') AS dateCreated,
DATE_FORMAT(c.date_modified, '%m-%d-%y') AS dateModified,
c.email2 AS email2
FROM
candidate c
LEFT JOIN user u
ON c.owner = u.user_id
LEFT JOIN saved_list_entry s
ON c.candidate_id = s.data_item_id
AND s.data_item_type = 100
WHERE
c.is_active = 1
GROUP BY
c.candidate_id
ORDER BY
c.date_modified DESC
LIMIT
0, 15https://stackoverflow.com/questions/37118250
复制相似问题