首页
学习
活动
专区
圈层
工具
发布
社区首页 >问答首页 >LTE中单个OFDMA资源块的单个用户的最大可实现数据速率(上行链路)

LTE中单个OFDMA资源块的单个用户的最大可实现数据速率(上行链路)
EN

Stack Overflow用户
提问于 2016-05-04 00:30:23
回答 1查看 90关注 0票数 1

我正在读一篇与资源和权力分配有关的论文,我偶然看到了这一标题的公式。现在的问题是,我找不到任何公式,以求数据速率使用SINR。本文使用的公式如下

代码语言:javascript
复制
R = ln(1 + SINR_ijk);

其中SINR_x是资源块k上与单元格j关联的用户的SINR

这个公式从何而来?

EN

回答 1

Stack Overflow用户

回答已采纳

发布于 2016-11-02 19:43:16

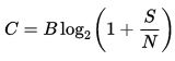
这似乎是香农定理的一种形式。参见Wiki链接的更多信息

此外,这没有考虑到编码速率、调制和许多其他影响数据速率的因素。

(我本来会发表评论,而不是回答,但我还没有足够的代表。)

票数 1
EN
页面原文内容由Stack Overflow提供。腾讯云小微IT领域专用引擎提供翻译支持
原文链接:

https://stackoverflow.com/questions/37016550

复制
相关文章

相似问题

领券
问题归档专栏文章快讯文章归档关键词归档开发者手册归档开发者手册 Section 归档