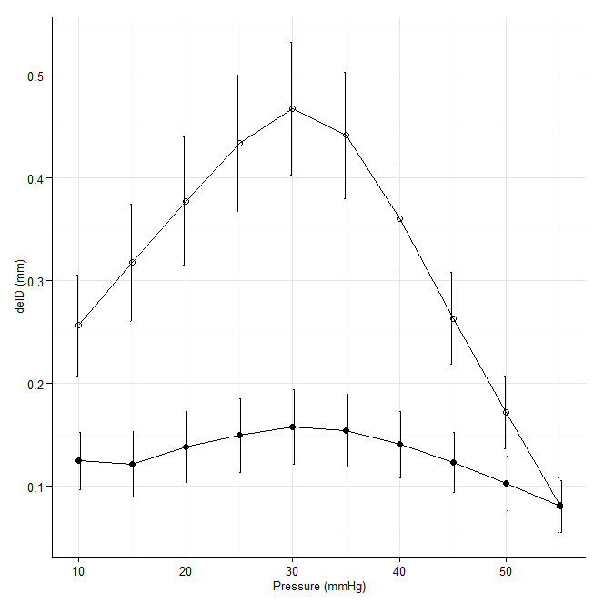
将我的数据绘制在R中,不显示错误条形晶须。为什么胡须没有显示,修复是什么,所以它们将被显示?
(虽然没有必要指定“data=.”在geom_errorbar中,我使用一组较小的数据在一组较大的数据上绘制几个点及其错误条。我在这里简化为只使用更小的数据框架,但希望保持这个示例接近我打算使用的代码。)
谢谢!肖纳
shapes <- c(1, 19, 15, 1, 0)
names(shapes) <- levels(smallDF$Treatment)
p <- ggplot(data=smallDF, aes(x=pNew, y=diff, group=Treatment))
p <- p + geom_errorbar(data=smallDF, aes(ymin=diff-se,ymax=diff+se),
color="black", width=.3, position=position_dodge(.5))
p <- p + geom_line(size=.3)
p <- p + geom_point(data=smallDF, aes(shape=Treatment),fill="white",
size=2.5)
#p <- p + scale_shape_manual(values=c(1, 19, 15, 1, 0))
p <- p + scale_shape_manual(values=shapes)
p <- p + xlab("Pressure (mmHg)") + ylab("delD (mm)")
p <- p + theme_bw()
p <- p + theme(
legend.position="none"
# , axis.text.y=element_blank()
# , axis.title.y=element_blank()
, panel.border=element_blank()
, axis.line = element_line(colour = "black")
, axis.text.x = element_text(size=10)
, axis.text.y = element_text(size=10)
, axis.title.x= element_text(size=10)
, axis.title.y= element_text(size=10)
, strip.text.x = element_text(size = 10)
)
p

Treatment step N diff sd se ci predictD pNew
cntl 2 7 0.256537749 0.130605763 0.049364339 0.120790185 1.483185156 10
cntl 3 7 0.317586245 0.151444256 0.057240549 0.140062577 1.626590815 15
cntl 4 7 0.377309785 0.165262839 0.062463482 0.152842634 1.788401781 20
cntl 5 7 0.433531627 0.173735352 0.065665791 0.160678402 1.964393744 25
cntl 6 7 0.467529177 0.171603123 0.064859884 0.158706419 2.142879696 30
cntl 7 7 0.441401156 0.163740786 0.0618882 0.15143497 2.291729181 35
cntl 8 7 0.360578168 0.143967074 0.054414439 0.133147337 2.402152991 40
cntl 9 7 0.263484929 0.117425017 0.044382485 0.108600028 2.481824239 45
cntl 10 7 0.172079736 0.094209661 0.035607905 0.087129405 2.53504158 50
cntl 11 7 0.081780331 0.070316765 0.026577239 0.065032161 2.561500546 55
cntl 12 7 0.172079736 0.094209661 0.035607905 0.087129405 2.53504158 50
cntl 13 7 0.263484929 0.117425017 0.044382485 0.108600028 2.481824239 45
cntl 14 7 0.360578168 0.143967074 0.054414439 0.133147337 2.402152991 40
cntl 15 7 0.441401156 0.163740786 0.0618882 0.15143497 2.291729181 35
cntl 16 7 0.467529177 0.171603123 0.064859884 0.158706419 2.142879696 30
cntl 17 7 0.433531627 0.173735352 0.065665791 0.160678402 1.964393744 25
cntl 18 7 0.377309785 0.165262839 0.062463482 0.152842634 1.788401781 20
cntl 19 7 0.317586245 0.151444256 0.057240549 0.140062577 1.626590815 15
cntl 20 7 0.256537749 0.130605763 0.049364339 0.120790185 1.483185156 10
3hpx 2 6 0.124643574 0.068765439 0.028073373 0.072164903 1.511618688 10
3hpx 3 8 0.121806932 0.088542241 0.03130441 0.074023166 1.537544183 15
3hpx 4 8 0.138107729 0.097228081 0.034375318 0.08128471 1.602344034 20
3hpx 5 8 0.149529 0.10158369 0.035915258 0.08492609 1.665227481 25
3hpx 6 8 0.157687817 0.101898303 0.036026491 0.085189113 1.724788023 30
3hpx 7 8 0.154261671 0.099724849 0.035258058 0.08337206 1.776475381 35
3hpx 8 8 0.140631071 0.091483297 0.03234423 0.07648195 1.819131367 40
3hpx 9 8 0.123241311 0.083112381 0.029384664 0.069483689 1.854326249 45
3hpx 10 8 0.103092334 0.075467614 0.026681831 0.063092504 1.882440312 50
3hpx 11 8 0.080332775 0.070303352 0.024855989 0.058775073 1.903587298 55
3hpx 12 8 0.103092334 0.075467614 0.026681831 0.063092504 1.882440312 50
3hpx 13 8 0.123241311 0.083112381 0.029384664 0.069483689 1.854326249 45
3hpx 14 8 0.140631071 0.091483297 0.03234423 0.07648195 1.819131367 40
3hpx 15 8 0.154261671 0.099724849 0.035258058 0.08337206 1.776475381 35
3hpx 16 8 0.157687817 0.101898303 0.036026491 0.085189113 1.724788023 30
3hpx 17 8 0.149529 0.10158369 0.035915258 0.08492609 1.665227481 25
3hpx 18 8 0.138107729 0.097228081 0.034375318 0.08128471 1.602344034 20
3hpx 19 8 0.121806932 0.088542241 0.03130441 0.074023166 1.537544183 15
3hpx 20 6 0.124643574 0.068765439 0.028073373 0.072164903 1.511618688 10发布于 2016-04-12 16:31:05
我把你的width = 0.3改成了width = 5。我还删除了所有冗余的data = smallDF,并用base_size参数theme_bw()替换了单独设置的字体大小。
p <- ggplot(data = smallDF, aes(x = pNew, y = diff, group = Treatment)) +
geom_errorbar(aes(ymin = diff - se, ymax = diff + se),
color = "black",
width = 5, ## This is the width of the crossbars!
position = position_dodge(.5))
geom_line(size = .3)
geom_point(aes(shape = Treatment),
fill = "white", size = 2.5) +
scale_shape_manual(values = shapes) +
xlab("Pressure (mmHg)") +
ylab("delD (mm)") +
theme_bw(base_size = 10) +
theme(
legend.position="none"
, panel.border=element_blank()
, axis.line = element_line(colour = "black")
)
p

https://stackoverflow.com/questions/36578083
复制相似问题