我有一个有很多变量的数据集,我想要为不同的变量每年显示一个盒子晶须。例如,对于所有的数据,从2007-2015年到现在,我每年都需要一个特定变量的盒子晶须。
这没问题。
现在,如果我将数据除以一些变量只有2007和2010年的值.我如何使盒的情节看上去与所有数据相同,与2007,2008,2009.2015年在x轴上,仅为2007年和2010年的箱式晶须(因为我只有这几年的数据为某个变量)?!
包含所有数据的框图:

带有选定值但缺少年份的框图:

真的挂在那里,还不能在网上找到任何东西(可能是错误的搜索模式)
Thx
发布于 2016-03-31 08:24:36
你可以利用各种因素来得到你想要的。
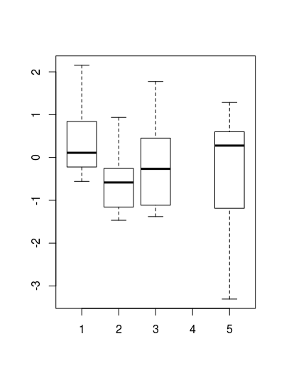
## Example data
dd = data.frame(y = rnorm(40))
dd$x = factor(c(1:3, 5), levels=1:5)注意,x只接受值1、2、3和5,但是有1到5级。运行一个标准的you绘图函数会给出您想要的结果:
boxplot(y ~ x, data=dd)

发布于 2016-03-31 08:28:25
您可以在boxplot()中使用"at“参数。
df <- data.frame(x = rep(c(2000: 2005, 2013), each = 10), y = rnorm(70))
boxplot(y~x, data = df, at = c(2000:2005, 2013))https://stackoverflow.com/questions/36326777
复制相似问题