为了评估盒滤波器/均值滤波器与高斯滤波器的性能影响(包括计算和质量影响),我想知道盒子滤波器的大小与高斯滤波器的σ之间是否存在适当的关系。
更具体地说,我需要用2x2盒滤波器对图像进行二次采样与使用考虑超过4个样本的等效高斯滤波器之间的差别。
关于如何处理这个问题,我有两个想法:
此外,我真的不知道如何融入我们居住在这里的离散空间。对应的高斯滤波器仅仅是四个最近样本的权重最接近1/4的滤波器吗?
发布于 2016-02-12 09:38:44
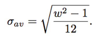
彼得·科维奇的以下文章是一个有用的参考:http://www.peterkovesi.com/papers/FastGaussianSmoothing.pdf。我将让您自己进行数学推导,但从本质上说,平均/盒滤波器的宽度与高斯滤波器的标准差之间的关系可以通过以下关系找到:

这说明,给定一个盒/平均滤波器的宽度w x w,应用等效标准差达到大致相同的效果时,使用高斯模糊可以找到上述的数学关系。
https://stackoverflow.com/questions/35340197
复制相似问题