我经常在我的作品中使用盒形图,喜欢ggplot2美学。但是标准geom_boxplot缺少两件对我很重要的东西:胡须末端和中间标签。感谢这里的信息,我编写了一个函数:
gBoxplot <- function(formula = NULL, data = NULL, font = "CMU Serif", fsize = 18){
require(ggplot2)
vars <- all.vars(formula)
response <- vars[1]
factor <- vars[2]
# A function for medians labelling
fun_med <- function(x){
return(data.frame(y = median(x), label = round(median(x), 3)))
}
p <- ggplot(data, aes_string(x = factor, y = response)) +
stat_boxplot(geom = "errorbar", width = 0.6) +
geom_boxplot() +
stat_summary(fun.data = fun_med, geom = "label", family = font, size = fsize/3,
vjust = -0.1) +
theme_grey(base_size = fsize, base_family = font)
return(p)
}还有字体设置,但这仅仅是因为我懒得做一个主题。下面是一个示例:
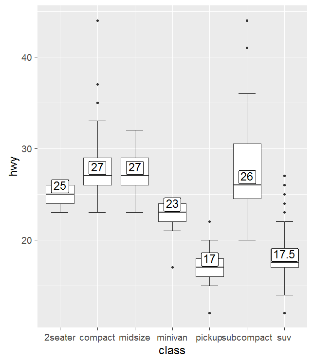
gBoxplot(hwy ~ class, mpg)

对我来说已经足够好了,但是也有一些限制(不能使用自动躲避等等),最好是基于geom_boxplot来制作一个新的geom。我读过扩展ggplot2,但无法理解如何实现它。任何帮助都将不胜感激。
发布于 2016-02-18 15:07:45
所以一直在想这件事。基本上,当您创建一个新的原语时,通常会编写以下内容的组合:
只有layer-function对用户是可见的。您只需要编写一个stat-ggproto,如果您需要一些新的方式来转换您的数据,使您的原语。而且你只需要写一个geom-ggproto,如果你有一些新的网格图形要创建。
在这种情况下,我们基本上是在堆肥已经存在的layer-function,我们实际上不需要编写新的ggprotos。编写一个新的layer-function.就足够了这个layer-function将创建您已经使用的三个层,并按您所希望的方式映射参数。在这种情况下:
geom_errorbar和stat_boxplot来获取我们的错误条geom_boxplot和stat_boxplot创建方框geom_label和stat_summary --创建文本框中间的平均值的文本标签。当然,您可以编写一个新的stat-ggproto和一个新的geom-ggproto来同时完成所有这些事情。或者你可以把stat_summary和stat_boxplot合二为一,还有三个geom-protos,这是用一个层来完成的。但是,除非我们有效率问题,否则没有什么意义。
总之,这是代码:
geom_myboxplot <- function(formula = NULL, data = NULL,
stat = "boxplot", position = "dodge",coef=1.5,
font = "sans", fsize = 18, width=0.6,
fun.data = NULL, fun.y = NULL, fun.ymax = NULL,
fun.ymin = NULL, fun.args = list(),
outlier.colour = NULL, outlier.color = NULL,
outlier.shape = 19, outlier.size = 1.5,outlier.stroke = 0.5,
notch = FALSE, notchwidth = 0.5,varwidth = FALSE,
na.rm = FALSE, show.legend = NA,
inherit.aes = TRUE,...) {
vars <- all.vars(formula)
response <- vars[1]
factor <- vars[2]
mymap <- aes_string(x=factor,y=response)
fun_med <- function(x) {
return(data.frame(y = median(x), label = round(median(x), 3)))
}
position <- position_dodge(width)
l1 <- layer(data = data, mapping = mymap, stat = StatBoxplot,
geom = "errorbar", position = position, show.legend = show.legend,
inherit.aes = inherit.aes, params = list(na.rm = na.rm,
coef = coef, width = width, ...))
l2 <- layer(data = data, mapping = mymap, stat = stat, geom = GeomBoxplot,
position = position, show.legend = show.legend, inherit.aes = inherit.aes,
params = list(outlier.colour = outlier.colour, outlier.shape = outlier.shape,
outlier.size = outlier.size, outlier.stroke = outlier.stroke,
notch = notch, notchwidth = notchwidth, varwidth = varwidth,
na.rm = na.rm, ...))
l3 <- layer(data = data, mapping = mymap, stat = StatSummary,
geom = "label", position = position, show.legend = show.legend,
inherit.aes = inherit.aes, params = list(fun.data = fun_med,
fun.y = fun.y, fun.ymax = fun.ymax, fun.ymin = fun.ymin,
fun.args = fun.args, na.rm=na.rm,family=font,size=fsize/3,vjust=-0.1,...))
return(list(l1,l2,l3))
}它允许您创建自定义的方框,它现在如下所示:
ggplot(mpg) +
geom_myboxplot( hwy ~ class, font = "sans",fsize = 18)+
theme_grey(base_family = "sans",base_size = 18 )他们看起来是这样的

Note:我们实际上不必使用layer函数,我们可以使用原始的stat_boxplot、geom_boxplot和stat_summary调用来代替它们。但是,如果我们想要能够从我们的自定义框图中控制它们,我们仍然需要填写所有的参数,所以我认为这种方式更清晰--至少从结构的角度来看,而不是从功能的角度。也许不是,这是品味的问题.
另外,我没有那种字体看起来更好看。但我不想追踪和安装它。
https://stackoverflow.com/questions/34876683
复制相似问题