我在Python中生成了以下日志图:

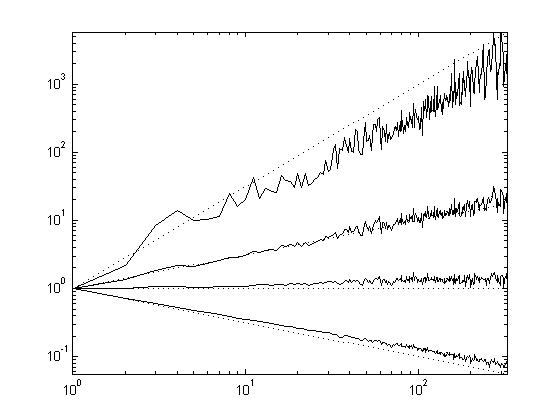
数据为这里。我想在这幅图中添加一系列直线,在这些数据值之间开始和结束:
[1.0, 0.05556],
[1.0, 1.0],
[1.0, 17.9996],
[1.0, 5831.9992]在Matlab中,您只需生成上面所述的日志图,然后使用两个数据点作为输入,然后使用简单的绘图命令,然后将这两个图组合成一个。Python/Matplotlib中有类似的方法吗?我试着用:
plt.loglog(main_data)
plt.plot(linspace_data) # linspace_data is a linear interpolation between the data values above.但没有成功..。基本上,我想要这个图(在Matlab中生成):

发布于 2016-01-12 00:09:44
这在O-O接口中变得简单得多:
fig, ax = plt.subplots() # this is the only "plt" fxn you need 99% of the time
x = [2, 57]
y = [12, 112]
ax.plot(x, y, '-')
ax.set_yscale('log')
ax.set_xscale('log')

https://stackoverflow.com/questions/34733367
复制相似问题