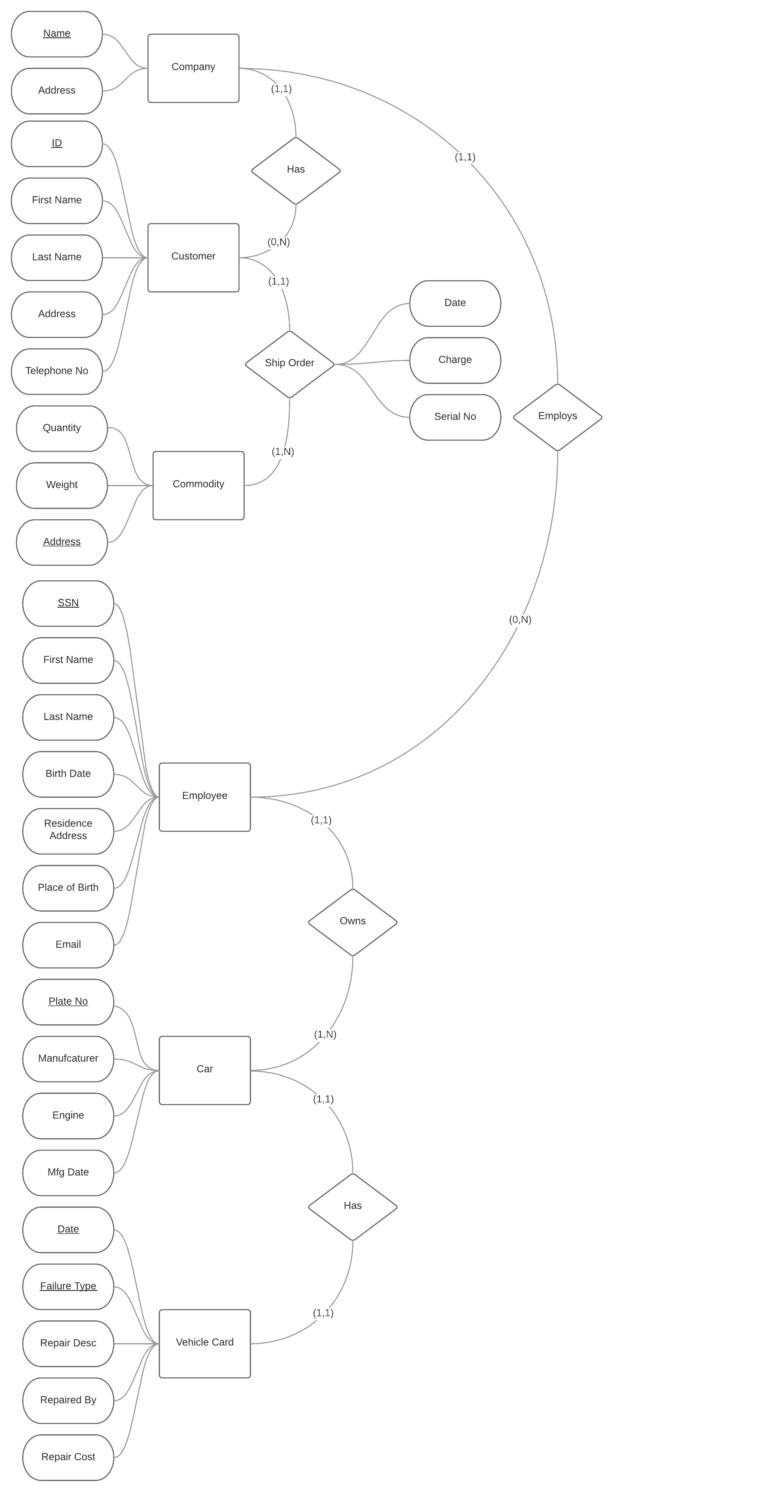
船运公司的每一位员工都知道他们的姓名、年龄、住址、出生地、通信地址、电子邮件。 每一名司机都有一辆汽车可供使用。众所周知,汽车是什么制造的,它有什么发动机,什么时候制造,等等。 每辆车都有一张汽车卡,其中包含故障、服务、维修等方面的信息。 船运公司有其客户,并收集有关他们的下列信息:姓名、地址、电话号码。 客户委托公司运送商品。关于商品,我们知道以下信息:数量、重量、地址和装运日期。 客户可以委托一种以上商品的运输。这类服务的价格也是众所周知的。
请回顾一下我设计的ER图。
我用过“看着对面”的符号。

发布于 2016-01-21 15:35:34
我会稍微修改一下图表,将发货顺序显示为一个实体(目前在您的关系图中显示为一个关系),如下所示:
希望这能有所帮助
https://stackoverflow.com/questions/34597488
复制相似问题