我想找到一种优雅的方法来解决以下微分方程:
from sympy import *
init_printing()
M, phi, t, r = symbols('M phi t r')
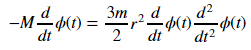
eq = Eq(-M * phi(t).diff(t), Rational(3, 2) * m * r**2 * phi(t).diff(t) * phi(t).diff(t,t))

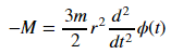
假设phi(t).diff(t)不是零。因此,左边和右侧都缩短了。
我就是这样找到解决办法的:
# I assume d/dt(phi(t)) != 0
theta = symbols('theta')
eq = eq.subs({phi(t).diff(t, 2): theta}) # remove the second derivative
eq = eq.subs({phi(t).diff(t): 1}) # the first derivative is shortened
eq = eq.subs({theta: phi(t).diff(t, 2)}) # get the second derivative back

dsolve(eq, phi(t))

我该如何更优雅地解决这个问题呢?
发布于 2015-10-26 17:26:59
理想情况下,dsolve()将能够直接求解方程,但它不知道如何求解(它需要了解它可以对一个方程进行因子分解并独立地求解这些因素)。我为它打开了一个问题。
我唯一的另一个建议是直接把菲‘分出来:
eq = Eq(eq.lhs/phi(t).diff(t), eq.rhs/phi(t).diff(t))您也可以使用
eq.xreplace({phi(t).diff(t): 1})若要在不修改二阶导数的情况下用1替换一阶导数(与subs不同,xreplace不知道要替换什么;它只是精确地替换表达式)。
不要忘记,phi(t) = C1也是一个解决方案(当phi‘等于0时)。
https://stackoverflow.com/questions/33340217
复制相似问题