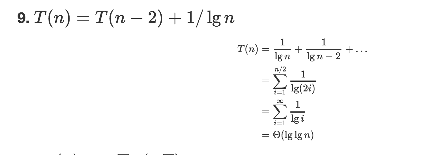
这是CLRS书中的一个问题。算法研究小组网站的介绍给出了以下答案:

(http://clrs.skanev.com/04/problems/03.html)
这个答案对吗?我不明白最后两句话。
发布于 2015-09-23 14:54:20
不,不是的。还有一个错误,而不是无穷大,应该有n。为了得到严格的数学证明,您应该在另一个stackExchange站点(数学站点)上询问。但由于你的直觉,我可以展示如下。
让我们想象一下,n = 2^2^k然后sum of 1/lg(i)等于
1/lg2 + 1/lg3 + 1/lg4 + 1/lg5 + 1/lg6 + 1/lg7 + 1/lg8 + 1/lg9 +
1/lg10 + 1/lg11 + 1/lg12 + 1/lg13 + 1/lg14 + 1/lg15 + ... + 1/lg n-1这大约是
1/lg2 + 1/lg2 + 1/lg4 + 1/lg4 + 1/lg4 + 1/lg4 + 1/lg8 + 1/lg8 +
1/lg8 + 1/lg8 + 1/lg8 + 1/lg8 + 1/lg8 + 1/lg8 + ... + 1/lg n-1等于
1/1 + 1/1 + 1/2 + 1/2 + 1/2 + 1/2 + 1/3 + 1/3 +
1/3 + 1/3 + 1/3 + 1/3 + 1/3 + 1/3 + ... + 1/ (2^k - 1) (as lg n = 2^k)合并后我们有
sum(1/i * 2^i) from 1 to 2^k-1最后一个成员是n/2 / 2^k-1,它是关于2^(2^k-k-1)的,这不是lg lg n = k的θ。当然,整笔金额甚至更大。
https://stackoverflow.com/questions/32742573
复制相似问题