首页
学习
活动
专区
圈层
工具
发布
社区首页 >问答首页 >BPMN网关执行

BPMN网关执行
EN

Stack Overflow用户
提问于 2015-07-23 15:35:30
回答 1查看 875关注 0票数 2

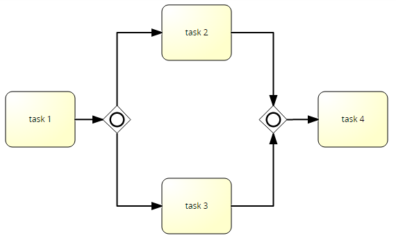
你好,如果我执行task1一次,任务4将执行多少次?

  1. 独家(XOR)网关

  1. 并行(IN)网关

  1. 基于事件的网关

  1. 包容网关

  1. 无网关

EN

回答 1

Stack Overflow用户

回答已采纳

发布于 2015-07-23 21:06:10

  1. 一次(任务2之后或任务3之后)
  2. 一次(在同步之后)
  3. 语法错误,因为基于事件的网关后面必须接住事件(或接收任务)。
  4. 一次(同步后或任务2之后或任务3之后)
  5. 两次(因为隐式流语义:输出流的并行化)。(传入流的隐式xor语义)

(我故意忽略了在任务4之前可能发生的任何运行时错误,例如,如果没有附加到基于数据的网关的传出序列流的条件计算为true)

票数 3
EN
页面原文内容由Stack Overflow提供。腾讯云小微IT领域专用引擎提供翻译支持
原文链接:

https://stackoverflow.com/questions/31591970

复制
相关文章

相似问题

领券
问题归档专栏文章快讯文章归档关键词归档开发者手册归档开发者手册 Section 归档