我正在用modeFrontier的一个简单的多目标优化问题来测试一个简单的多目标优化问题
ModeFrontier向输入变量h和r提供随机值,但不能获得输出变量b、l和v的值。

然后我测试mathcad配置。这是输出消息:
java.rmi.ServerException: RemoteException occurred in server thread; nested exception is:
java.rmi.RemoteException: Exception starting the process; nested exception is:
java.rmi.ServerException: RemoteException occurred in server thread; nested exception is:
java.rmi.RemoteException: Initialization error; nested exception is:
com.jacob.com.ComFailException: Can't co-create object

ModeFrontier中Mathcad的首选项:

Mathcad Preferences脚本安全性:

下面是ModeFrontier的图表:

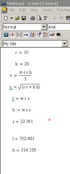
数学工作表:

发布于 2015-08-06 16:37:02
我不知道这个问题的原因,但当我作为管理员运行ModeFrontier时,我可以解决这个问题。
如果ModeFrontier没有以管理员的身份运行,那么存在很大的问题。然后,我建议始终以管理员的身份运行。
为了始终以管理员身份运行,您可以转到ModeFrontier的图标。右键单击它,然后单击,最后单击check按钮"Run “。


https://stackoverflow.com/questions/31167722
复制相似问题