我想要创建一个在R中有六个面板的ggplot图形,前五个方面应该代表条形图中的五个不同的数据子集,而最后一个方面应该代表整个数据。我还希望在前五个方面有一个固定的y轴尺度,但在最后一个方面有一个不同的尺度。我知道,目前还不可能为ggplot功能(https://github.com/hadley/ggplot2/issues/187)中的每个方面指定单独的ylims,但我想知道是否可以使用grid和可能的gtable包来做类似的事情,目前我对这两个方面都不太熟悉。
以下是我的尝试。我将最后一个面替换为另一个图形中的一个面。
library("ggplot2")
library("dplyr")
library("grid")
# create data
set.seed(1)
d1 <- data_frame(
value = rnorm(3 * 5, mean = 30, sd = 10),
f = rep(LETTERS[1:3], 5),
p = rep(paste("Panel", 1:5), each = 3)
)
d2 <- d1 %>%
mutate(p = "Total") %>%
rbind(d1)
# make initial figures
plot1 <- ggplot(d2, aes(f, value)) +
geom_bar(stat = "identity") +
facet_wrap(~ p) +
coord_cartesian(ylim = c(0, 50))
plot2 <- ggplot(d2, aes(f, value)) +
geom_bar(stat = "identity") +
facet_wrap(~ p, scales = "free_y")
# extract their grobs
g1 <- ggplotGrob(plot1)
g2 <- ggplotGrob(plot2)
# replace the final facet of plot1 with the final facet of plot2
g1[["grobs"]][[7]] <- g2[["grobs"]][[7]]
g1[["grobs"]][[19]] <- g2[["grobs"]][[19]]
g1[["grobs"]][[25]] <- g2[["grobs"]][[25]]
# draw the figure
grid.newpage()
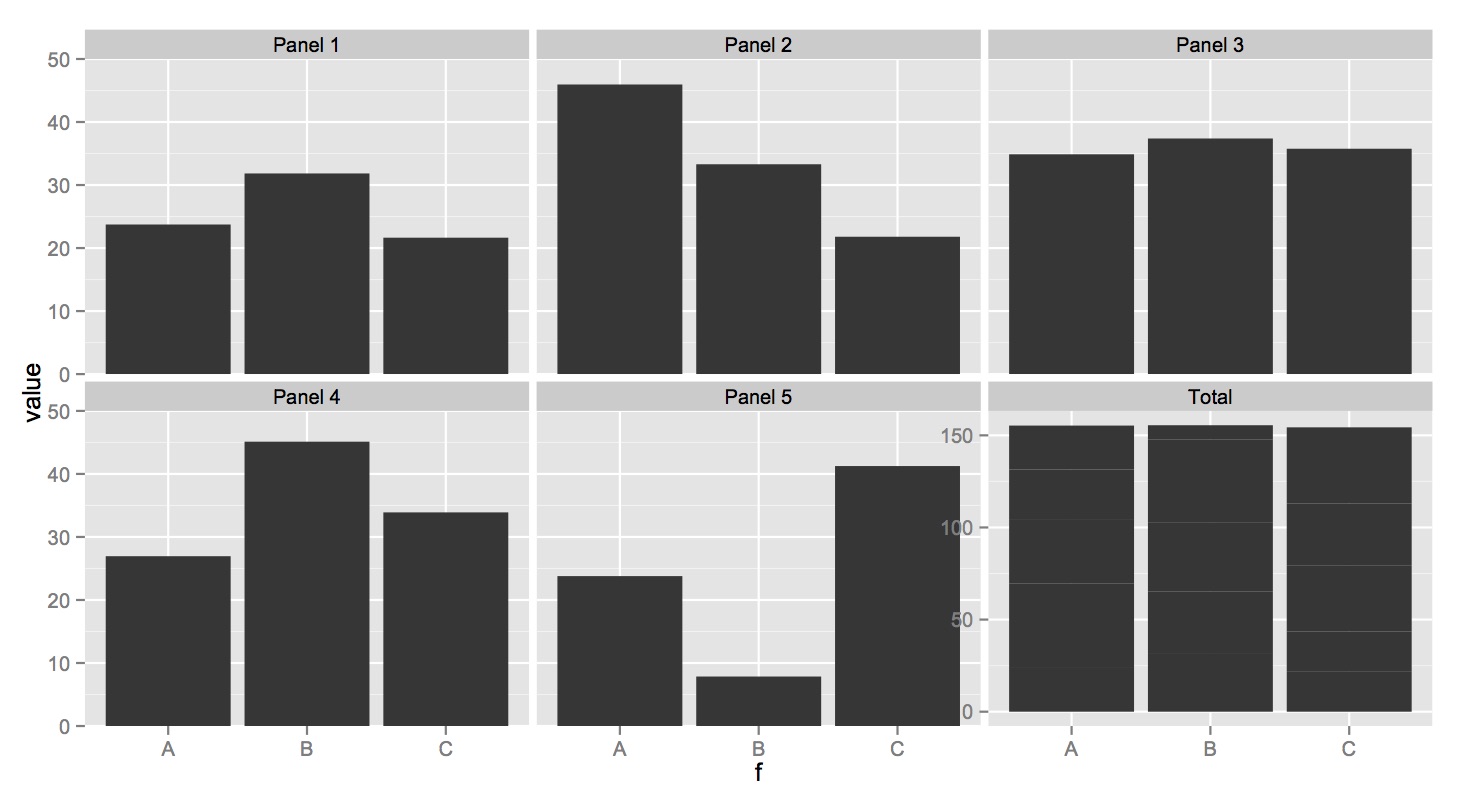
grid.draw(g1)这就是我得到的。

但是可以看到,最后一个小面的y轴标签与前面的小面重叠.有谁知道避免重叠的方法吗?例如,使最后一个面变小?
发布于 2015-06-22 02:45:45
一种方法是从"g2“中提取”总计“图,然后将其插入"g1”中,但首先从"g1“中删除”总计“图。但是你会注意到x轴的勾标标签不对齐。
# Load packages
library(ggplot2)
library(dplyr)
library(gtable)
library(grid)
# create data
set.seed(1)
d1 <- data.frame(
value = rnorm(3 * 5, mean = 30, sd = 10),
f = rep(LETTERS[1:3], 5),
p = rep(paste("Panel", 1:5), each = 3)
)
d2 <- d1 %>%
mutate(p = "Total") %>%
rbind(d1)
# make initial figures
plot1 <- ggplot(d2, aes(f, value)) +
geom_bar(stat = "identity") +
facet_wrap(~ p) +
coord_cartesian(ylim = c(0, 50))
plot2 <- ggplot(d2, aes(f, value)) +
geom_bar(stat = "identity") +
facet_wrap(~ p, scales = "free_y")
# Get the ggplot grobs
g1 <- ggplotGrob(plot1)
g2 <- ggplotGrob(plot2)
# Extract "Total" plot from g2
keep = g2$layout$name %in% c("panel-3-2", "axis-b-3-2", "axis-l-2-3", "strip-t-3-2")
pos = subset(g2$layout, keep, c(t,l,b,r))
g2 = g2[c(min(pos$t):max(pos$b)), c(min(pos$l):max(pos$r))]
# Remove "Total" plot from g1
keep = !g1$layout$name %in% c("panel-3-2", "axis-b-3-2", "strip-t-3-2")
pos = subset(g1$layout, !keep, c(t,l,b,r))
g1$grobs <- g1$grobs[keep]
g1$layout <- g1$layout[keep, ]
# Insert g2 into g1
g1 = gtable_add_grob(g1, g2, t=min(pos$t), b=max(pos$b), l=min(pos$l), r=max(pos$r))
# Draw it
grid.newpage()
grid.draw(g1)

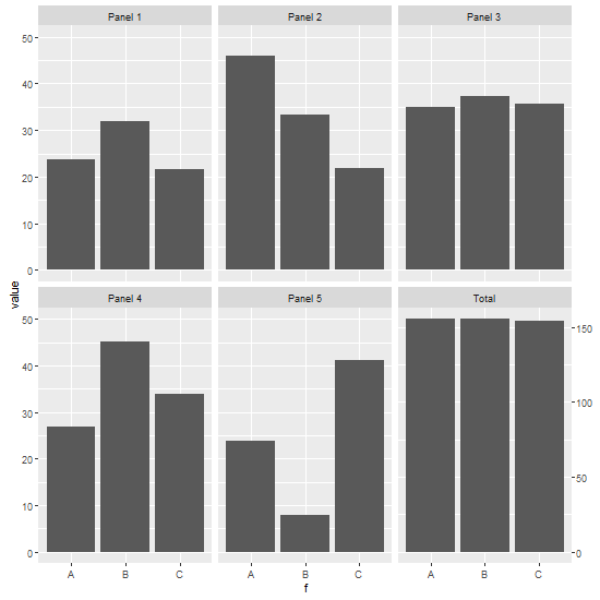
另一种方法是像以前一样从"g2“中提取”总体“图,但将其y轴移到图的右侧(使用从here借用的代码)。(我调整了您的"plot2“,以便在最后的绘图中更好地对齐勾标标签。)这样,“总计”面板占用的空间与其他面板一样大,因此x轴勾标标签对齐,但“总计”面板的y轴突出在右侧。
# Make initial figures
plot1 <- ggplot(d2, aes(f, value)) +
geom_bar(stat = "identity") +
facet_wrap(~ p) +
coord_cartesian(ylim = c(0, 50))
plot2 <- ggplot(d2, aes(f, value)) +
geom_bar(stat = "identity") +
facet_wrap(~ p, scales = "free_y") +
theme(axis.text.y = element_text(hjust = 0)) ## For better formatting of labels
# extract their grobs
g1 <- ggplotGrob(plot1)
g2 <- ggplotGrob(plot2)
# Extract "Total" plot from g2
keep = g2$layout$name %in% c("panel-3-2", "axis-b-3-2", "axis-l-2-3", "strip-t-3-2")
pos = subset(g2$layout, keep, c(t,l,b,r))
g2 = g2[c(min(pos$t):max(pos$b)), c(min(pos$l):max(pos$r))]
# Get the position of the panel in the layout
panel <- c(subset(g2$layout, grepl("panel", g2$layout$name), se = t:r))
# Get the row number of the y-axis in the layout
rn <- which(grepl("axis-l", g2$layout$name))
# Extract the axis (tick marks and axis text from the gtable)
axis.grob <- g2$grobs[[rn]]
axisl <- axis.grob$children[[2]] # Two children - get the second
axisl # Note: two grobs - tick marks and text
# Reverse the grobs and the widths
axisl$widths <- rev(axisl$widths)
axisl$grobs <- rev(axisl$grobs)
axisl$grobs[[1]]$x <- axisl$grobs[[1]]$x - unit(1, "npc") + unit(2.75, "pt")
axisl$grobs[[2]]$children[[1]]$x = unit(.15, "npc")
# Remove the column containing the left axis
g2 <- g2[, -(panel$r-1)]
## remove empty panels
keep = !g1$layout$name %in% c("panel-3-2", "axis-b-3-2", "strip-t-3-2")
pos = subset(g1$layout, !keep, c(t,l,b,r))
g1$grobs <- g1$grobs[keep]
g1$layout <- g1$layout[keep, ]
# Insert g2 into g1
g1 = gtable_add_grob(g1, g2, t = min(pos$t), b = max(pos$b), l = min(pos$l), r = max(pos$r))
# Add a new column to g1, and add the revised axisl grob to the new column.
pos = subset(g1$layout, grepl("panel", g1$layout$name), c(t,l,b,r)) # position of bottom right panel
g1 <- gtable_add_cols(g1, axisl$widths, max(pos$r))
g1 <- gtable_add_grob(g1, axisl, t = max(pos$b), l = max(pos$r)+1, r = max(pos$r)+2)
# Draw it
grid.newpage()
grid.draw(g1)

https://stackoverflow.com/questions/30966994
复制相似问题