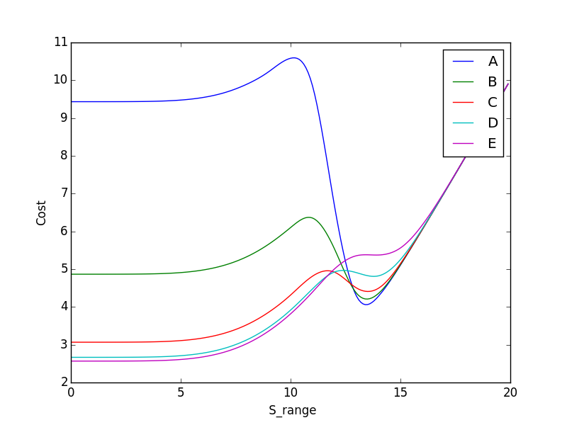
我有一个叫做calculate_cost的函数,它计算不同S_range (库存级别)供应商的绩效。函数可以工作,但图不是光滑的,有方法在Python中使其平滑吗?
import numpy
import scipy.stats
import scipy.integrate
import scipy.misc
import matplotlib
import math
import pylab
from scipy.stats import poisson
def calculate_cost(s, h, d, r, k, alphaR):
cost = 0.0
for i in range(0, alphaR + 1):
#i = i-1
binom = math.factorial(r) / ((math.factorial(i)) * (math.factorial(r - i)))
func = scipy.stats.poisson.cdf(s, d)
cost += ((k/r) * binom * (func ** i) * ((1.0-func) ** (r-i)))
for p in range (s):
cost += h*(s-p)*scipy.stats.poisson.pmf(p, d) #This a formula
return cost
graphs = []
class Graph:
def __init__(self):
self.label = ""
self.h = 0
self.d = 0
self.r = 0
self.k = 0
self.alphaR = 0
graph = Graph()
graph.label = "A"
graph.h = 1.0
graph.d = 10
graph.r = 30
graph.k = 283.0
graph.alphaR = 23
graphs.append(graph)
graph = Graph()
graph.label = "B"
graph.h = 1.0
graph.d = 10
graph.r = 30
graph.k = 146.0
graph.alphaR = 24
#graph.LineStyle = '*-'
graphs.append(graph)
graph = Graph()
graph.label = "C"
graph.h = 1.0
graph.d = 10
graph.r = 30
graph.k = 92.0
graph.alphaR = 25
#graph.LineStyle = '*-'
graphs.append(graph)
graph = Graph()
graph.label = "D"
graph.h = 1.0
graph.d = 10
graph.r = 30
graph.k = 80.0
graph.alphaR = 26
#graph.LineStyle = '*-'
graphs.append(graph)
graph = Graph()
graph.label = "E"
graph.h = 1.0
graph.d = 10
graph.r = 30
graph.k = 77.0
graph.alphaR = 27
#graph.LineStyle = '*-'
graphs.append(graph)
s_range = numpy.arange(0,21,1)
for graph in graphs:
cost = []
for s in s_range:
cost.append(calculate_cost(s, graph.h, graph.d, graph.r, graph.k, graph.alphaR))
matplotlib.pyplot.plot(s_range, cost, label = graph.label)
pylab.legend()
matplotlib.pyplot.xlabel(' S_range')
matplotlib.pyplot.ylabel('Cost')
pylab.show()发布于 2015-05-26 08:55:57
一种解决方案是使用具有“立方”类型的scipy.iterp1D函数:
from scipy import interpolate
....
s_range = numpy.arange(0,21,1)
for graph in graphs:
cost = []
for s in s_range:
cost.append(calculate_cost(s, graph.h, graph.d, graph.r, graph.k, graph.alphaR))
f = interpolate.interp1d(s_range, cost, kind='cubic')
s_range_new = np.arange(0,20, 0.1)
cost_new = f(s_range_new)
matplotlib.pyplot.plot(s_range_new, cost_new, label = graph.label)
pylab.legend()
matplotlib.pyplot.xlabel(' S_range')
matplotlib.pyplot.ylabel('Cost')
pylab.show()这给了你:

在如何使用它时要小心,因为这只是插值点,而不是真实的数据点。
希望这能有所帮助
https://stackoverflow.com/questions/30449421
复制相似问题