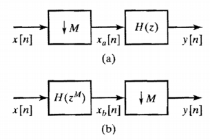
在证券交易委员会。4.7在经典教科书“离散时间信号处理(3)”中,对多速率处理的高效实现进行了深入的讨论。第一种方法是处理“滤波与压缩机/膨胀机的交换”,下图给出了下采样的交换图。

由于下采样会导致混叠,所以必须进行预滤波.在图中,我们可以注意到H(z)在(a)中,H(z^M)在(B)中;但是,如果在(a)下采样后出现了混叠,那么H(z)能消除混叠吗?谢谢!
发布于 2015-04-22 04:46:00
是的,只要原来的过滤器是形式的H(z^M),这意味着只有每个M的第四系数是非零的。
这是可能的,原因在于只有每个M第四个输入样本实际上是在此配置中的输出序列中考虑因素。这是一个特例,因为在M的非倍数输入样本总是被滤波器零系数或抽取器所抵消。甚至没有必要在M的倍数以外的索引上考虑输入样本。
这意味着您可以先抽取输入,然后应用滤波器,去掉它的零系数。
https://stackoverflow.com/questions/29786949
复制相似问题