我已经从下表绘制了一张图表。
BoatPhs fit se lower upper
1 Before 3.685875 0.3287521 3.038621 4.333130
2 After0-20NTA 3.317189 0.6254079 2.085872 4.548506
3 After0-20TAA 5.579384 0.5696270 4.457890 6.700878
4 After0-20TAP 3.932360 0.4304098 3.084960 4.779760
5 After20-40NTA 4.522714 0.7771793 2.992586 6.052842
6 After20-40TAA 4.505207 0.5500699 3.422217 5.588196
7 After20-40TAP 3.602183 0.3880538 2.838174 4.366192
8 ApproachNTA 4.039599 0.5688482 2.919638 5.159560
9 ApproachTAA 4.421112 0.5176408 3.401969 5.440255
10 ApproachTAP 4.497809 0.3978328 3.714547 5.281071船的相位为x轴,并在y上绘制了fit图。目前,我有ApproachNTA、ApproachTAA、ApproachTAP、After0-20NTA等。
我最初把这些标签旋转了90度,这样它们看上去就更好了,但我不喜欢它的外观。目前,我已经重新命名了标签(使用下面的代码),这样现在在轴上显示的是x轴上的“在NTA TAA之前,NTA TAA抽头NTA TAA抽头”。
我希望添加一些文字,以分组标签。比如NTA TAA第一组下的“方法”,第二组下的“0-20之后”和第三组下的“20-40之后”,但我不知道如何在情节之外进行。尝试使用注释函数,但它只允许在绘图区域内的文本。
任何帮助都将不胜感激。
干杯
# Speed plot
Spdplot <- ggplot(y, aes(x=BoatPhs, y=fit, colour=BP, ymax=max(fit)*1.05)) +
geom_point(position = position_dodge(width = 0.5, height = 0), size = 4) +
geom_errorbar(aes(ymin=fit-se, ymax=fit+se), position = position_dodge(width = 0.5, height = 0), width = 0.5, size = 0.75) +
theme(panel.grid.major = element_blank(), panel.grid.minor = element_blank(),
panel.background = element_blank(), axis.line = element_line(colour = "black"))
#run Spdplot
Spdplot
#sets x values in results order + relables x + y axes
Spdplot + scale_x_discrete(limits=c("Before","ApproachNTA","ApproachTAA","ApproachTAP","After0-20NTA","After0-20TAA","After0-20TAP", "After20-40NTA","After20-40TAA","After20-40TAP"),
labels=c("Before" = "Before" ,"ApproachNTA" ="NTA","ApproachTAA" = "TAA","ApproachTAP" = "TAP",
"After0-20NTA" = "NTA","After0-20TAA" = "TAA","After0-20TAP" = "TAP",
"After20-40NTA" = "NTA","After20-40TAA" = "TAA","After20-40TAP" = "TAP")) +
xlab("Boat phase") + ylab("Group travel speed (km/hr)") +
annotate("text", x=6, y=6.2, label="***", size = 6) +
annotate("text", x=4, y=4.95, label="*", size = 6) +
theme(axis.title.x = element_text(face="bold", size = 16, vjust= -0.5), axis.title.y = element_text(face="bold", size = 16, vjust= 1),
axis.text.x = element_text(size=14, face="bold"), axis.text.y = element_text(face="bold", size=14), legend.text=element_text(size=14)) +
theme(legend.title = element_blank()) +
scale_colour_manual(values=c("#3399FF","#FF0000","#33CC33","#000000"),
breaks=c("Before", "Approach", "After0-20", "After20-40"),
labels=c("Before", "Approach", "After0-20", "After20-40"))

发布于 2015-03-18 03:10:22
你在annotate上做的很多麻烦,如果你给出它所需要的数据,可以避免在scale_x_discrete中使用手动标记。在这里,我重新创建您的数据集,然后添加您的绘图的基本信息片段。
# Recreate your data
y <- read.table(textConnection('BoatPhs fit se lower upper
1 Before 3.685875 0.3287521 3.038621 4.333130
2 After0-20NTA 3.317189 0.6254079 2.085872 4.548506
3 After0-20TAA 5.579384 0.5696270 4.457890 6.700878
4 After0-20TAP 3.932360 0.4304098 3.084960 4.779760
5 After20-40NTA 4.522714 0.7771793 2.992586 6.052842
6 After20-40TAA 4.505207 0.5500699 3.422217 5.588196
7 After20-40TAP 3.602183 0.3880538 2.838174 4.366192
8 ApproachNTA 4.039599 0.5688482 2.919638 5.159560
9 ApproachTAA 4.421112 0.5176408 3.401969 5.440255
10 ApproachTAP 4.497809 0.3978328 3.714547 5.281071'))
# Separate the boat phase from the time period
y$boat.phase <- gsub('.*(NTA|TAA|TAP)','\\1',y$BoatPhs)
y$period <- gsub('(.*)(NTA|TAA|TAP)','\\1',y$BoatPhs)
# Give the time period an ordering.
y$period <- factor(y$period,
levels = c("Before", "Approach", "After0-20", "After20-40"),
ordered=TRUE)
# Add the stars manually, but these could be calculated programatically.
y$stars <- c('', '', '***', '', '', '', '', '', '', '*')现在,当你使用ggplot,你可以传递星星作为美学,你将不需要手动标记任何东西。要对x轴标签进行“分组”,可以使用facet:
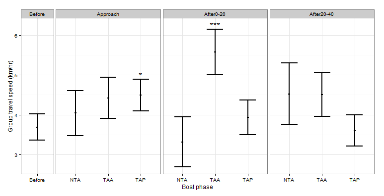
ggplot(y, aes(x=boat.phase, y=fit, ymax=fit+se, ymin=fit-se)) +
geom_point() + geom_errorbar(width = 0.5, size = 0.75) +
geom_text(aes(y=fit+se+0.1, label=stars), size=6) +
facet_grid( ~ period, scales="free_x", space="free_x") +
xlab("Boat phase") + ylab("Group travel speed (km/hr)") +
theme_bw()

在这里着色是多余的,但是如果你喜欢的话,可以把它加进去。我还在下一个示例中添加了您的自定义主题。
ggplot(y, aes(x=boat.phase, y=fit, ymax=fit+se, ymin=fit-se, colour=period)) +
geom_point() + geom_errorbar(width = 0.5, size = 0.75) +
geom_text(aes(y=fit+se+0.1, label=stars), size=6) +
facet_grid( ~ period, scales="free_x", space="free_x") +
xlab("Boat phase") + ylab("Group travel speed (km/hr)") +
scale_colour_manual(values=c("#000000", "#33CC33", "#3399FF","#FF0000")) +
theme(axis.title = element_text(face="bold", size = 16),
axis.title.x = element_text(vjust= -0.5),
axis.title.y = element_text(vjust= 1),
axis.text = element_text(size=14, face="bold"),
panel.grid = element_blank(),
panel.background = element_blank(),
axis.line = element_line(colour = "black"))

https://stackoverflow.com/questions/29111809
复制相似问题