在HTML5中,每个元素都属于零或多个类别。每个元素都有一个由零或多个类别定义的内容模型。
其中有很多问题,比如:我能把A元素放进元素B吗?
我的问题是:如何有效地构建内容模型的可视化表达?
是否有可能以HTML5用户可以理解的合成方式从元素子集生成一个图?
-编辑--
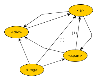
这是我想要生成的图形。箭头的意思是可以进去。

在某些情况下,它们将是箭头上的条件。
条件:(1)透明,但不得有交互内容的后代。
发布于 2014-07-13 09:20:09
在)中,您为每个元素提供了一个与其相关的类别的列表,哪些元素可以包含它及其内容模型.
…祝你好运!作为一个相关的例子,这里有一个维亚利亚角色和他们的咏叹调的图表-*内容:图表。它是如此的复杂和微小的文字..。其他表单,如列表或提供信息的自动完成表单,我想会更有用(但工作要多得多,而且不属于REC,当然)。
我记得在HTML4.01/XHTML1.0中使用了这个法语XHTML1.1可点击资源:李。它是法文的,但这只是一个例子,用蓝色命名元素的名称、它的预期用途、(属性blah)和下面(太小)文本与可能的父母和孩子(Liste deséléments enfants),红色的颜色是必须有孩子的元素(不可访问的编码依赖于颜色btw)。
否则,优秀的资源HTML5doctor有一个按字母顺序排列的索引:http://html5doctor.com/element-index/
关于HTML5验证,而不是SGML、DTD、模式等,在这个SO线程中有很好的问题、答案和链接:关于html5 dtd/模式的另一个问题。
发布于 2014-07-16 04:32:46
如果您正在寻找一种图形化的方法来表示HTML元素的允许内容,那么我建议使用一组语法图 图解是合适的。(语法图有时被称为铁路图)。
例如,JSON规范使用了一组语法图,有些人认为这种格式的可理解性有助于它的接受。有关编程生成SVG图的更多细节,请参见基于json.org的铁路运行图生成工具。
为了举例说明,请尝试将以下内容(不完全EBNF)粘贴到“编辑语法”选项卡下的http://bottlecaps.de/rr/ui中,然后单击“查看图”:
head-element ::= "<head" global-attribute* ">" metadata-content* "</head>"
metadata-content ::= title-element | base-element | link-element | meta-element | style-element
title-element ::= "<title>" text-content "</title>"
base-element ::= "<base" (href-attribute | target-attribute | (href-attribute target-attribute)) ">"这个工具的一个好处是你可以给它提供不完整的EBNF,并且它仍然是图表。
https://stackoverflow.com/questions/24047066
复制相似问题