三重嵌套循环的时间复杂度
for(int i=0; i<n; i++)
for(int j=i+1; j<n; j++)
for(int k=j+1; k<n; k++)我想知道时间复杂性的正确解决方案。
发布于 2014-04-11 14:33:52
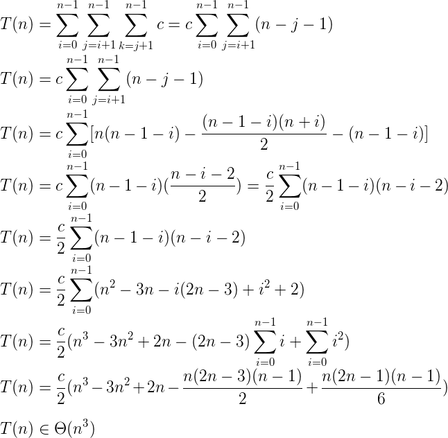
确定算法增长顺序的正式解决方案:

发布于 2014-04-10 13:15:52
第一个猜测:依赖于n的三个循环,所以它应该是O(n³)
如果你试图计算精确的复杂性,你必须计算它的内部,乘以它与外部循环。
内环采用O(n-k)
中间回路采用O(n-j + n-j-1 + ... + n-j-n) = O((n-j) ⋅ (n-j+1) / 2) = O((n-j)²)
外循环采用O((n-1)² + (n-2)² + ... + (n-n+1)²) = O(n³)
当然,这不是精确的,但就大-O而言,它是精确的。
https://stackoverflow.com/questions/22821512
复制相似问题