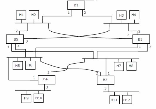
有人能告诉我,在给定的图表中,桥梁之间的连接是如何在没有主机的情况下进行的吗?我对如何分别在桥、B3和B5的端口4和端口3进行连接感到困惑。问题是如何构造生成树。

请帮帮忙。
发布于 2015-04-02 16:45:50
构建跨tree.You非常简单,需要了解以下几点。
首先选择根桥作为桥,最小的id.So B1作为根桥。
然后,对于除根桥之外的每个桥,选择根端口,它是具有最低成本路径的端口,对于根bridge.In大小写,请选择最低的id端口。
然后,对于每个局域网,除了与根桥直接连接的局域网外,找出一个指定的桥接器,该网桥具有最小的根部bridge.Again路径,在连接的情况下,选择id较低的网桥。
然后,对于每个指定的桥,选择连接桥接到相应LAN的端口作为指定端口。
最后,指定端口和根端口处于转发状态,rest处于阻塞状态,生成树。
对于给定的问题,使用上述算法的解决方案是:
根港
B2-1,B3-3,B4--1,B5--2
指定桥梁
对于带H5的局域网,H6是B3,H8是B3,H8是H9,H10是B4,H11是局域网,H12是B2。
指定港口
B3有1,2(1用于局域网与H5,2用于局域网与H7,H8)
B2有3
B4有3
如有任何疑问,欢迎垂询。
https://stackoverflow.com/questions/21645541
复制相似问题