上下文:
我是实现高斯伯努利RBM,它是像流行的RBM,但与实际值可见单位。
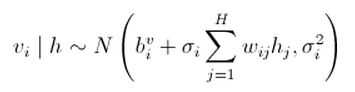
的确,对隐藏值p(h=1|v)的采样过程对两者都是相同的,即

问题:
我的问题是在编码(使用Python) p(v|h)时,

对于N()是如何工作的,我有点困惑。我是否简单地使用数据的标准偏差添加高斯噪声到b + sigma * W.dot(h)
提前谢谢你。
发布于 2013-12-19 23:29:56
符号X~N(μ,σ2)表示X是正态分布,平均μ和方差σ2,因此在RBM训练过程中,V应该是从这种分布中抽取的μ,σ样本。用NumPy术语来说,这是
v = sigma * np.random.randn(v_size) + b + sigma * W.dot(h)或者使用scipy.stats.norm来获得更好的可读性代码。
https://stackoverflow.com/questions/20690163
复制相似问题