高斯滤波器是图像处理领域一种著名的图像去噪工具。我看到很多开源软件选择这样的模板:

这些价值从何而来?
发布于 2013-11-18 09:46:45
你自己把答案联系起来了。这些值是高斯函数的离散表示。
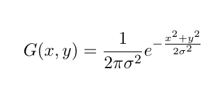
2D高斯看起来如下:

要获得滤波器值,您可以在与内核大小和σ相对应的离散x-y位置计算2D-高斯函数。
在本网站上,你可以找到高斯滤波器的详细解释。
发布于 2021-09-03 23:30:16
这是一个高斯滤波器的近似,称为二项式滤波器。您可以在这里看到区别:filters.pdf.old
如果你想得到一个离散高斯滤波器,你可以看到这个视频https://www.youtube.com/watch?v=3z3GDUFR4Lw
因此,例如,如果您想要一个标准偏差为σ= 1的高斯滤波器3x3。
来自2D高斯:

如果矩阵维数为3x3 (nxn),则系数k为1(因为高斯函数为-k,.,0,.,k,在本例中:-1,0,1,这就是维数为3的原因)
所以,你必须像这样计算矩阵:

解决办法是:

注意,不存在偶数维,因为矩阵维数依赖于n= 2k+1,后者指奇数。
https://stackoverflow.com/questions/20041391
复制相似问题