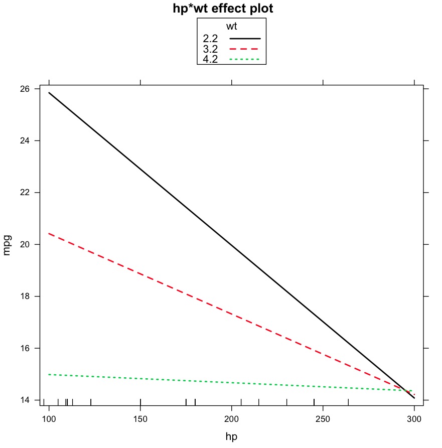
下面的代码显示了使用effects库的交互图:
model <- lm(mpg ~ hp + wt + hp:wt, data=mtcars)
library(effects)
plot(effect("hp:wt", model, list(wt=c(2.2,3.2,4.2))), multiline=TRUE)

我试着建立相同的模型,但将wt保持在2.2,但是这个模型不能计算wt的系数
mtcars$wt_2.2 <- 2.2
model2.2 <- lm(mpg ~ hp + wt_2.2 + hp:wt, data=mtcars)
coef(model2.2)如何使用ggplot2制作相同的图?
发布于 2013-11-14 09:53:00
tmp <- as.data.frame(effect("hp:wt", model, list(wt=c(2.2,3.2,4.2))))
ggplot(data=tmp, aes(x=hp, y=fit, colour=as.factor(wt))) +
geom_line() +
labs(colour="wt")

https://stackoverflow.com/questions/19971972
复制相似问题