我正在按两类绘制数据,首先是底层数据:
library(plyr)
library(ggplot2)
d1 <- data.frame(v1 = rnorm(30),
x = rep(letters[1:6],
c(6, 3, 8, 3, 4, 6)),
group = rep(paste("g", 1:3, sep = ""),
c(9, 11, 10)))然后我订购了因子
of <- ddply(d1, .(x), function(i) mean(i$v1))
of <- of[order(-of$V1),]
d1$x <- factor(d1$x, levels = of$x)这提供了以下的情节
ggplot(d1) + geom_point(aes( x = v1, y = x)) +
facet_grid(group ~ .,
scales = "free_y",
space = "free_y")

但是,我也想为每个组添加一个单独的水平框图,描述相关的分布。我知道第一步是在y轴上提供一个“总”空间:
d2 <- rbind(d1,
data.frame(v1 = NA,
x = "Total",
group = unique(d1$group)))
ggplot(d2) + geom_point(aes( x = v1, y = x)) +
facet_grid(group ~ .,
scales = "free_y",
space = "free_y")它提供了以下内容,现在我被困住了

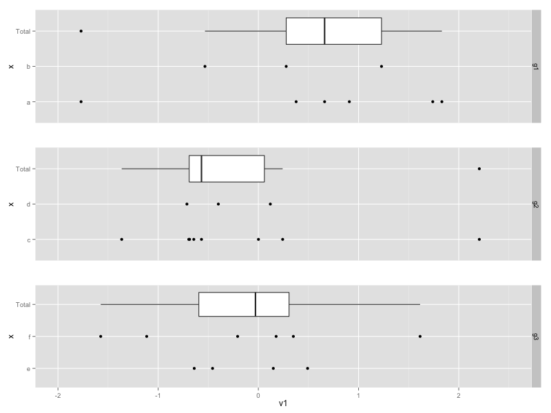
我只想要一个横向方格旁边的“总”轴断裂,总结每一组的数据。
提前谢谢。
发布于 2013-11-11 07:49:36
起点是创建两个数据框架-- Total作为原始数据框架,Total (x值都是Total )。
d2 <- d1
d2$x <- "Total"然后使用d1来生成点,使用d2来生成方格图。下面是框图垂直对齐的例子,其中x值被用作x。问题是要有水平的盒形图,就必须使用coord_flip()。翻转轴和自由鳞片不能一起使用。
ggplot()+geom_point(data=d1,aes(x=x,y=v1))+
geom_boxplot(data=d2,aes(x=x,y=v1))+
facet_wrap(~group ,
scales = "free_x")

要想找到方向,需要做三个单独的小块(每个组一个),然后将它们与grid.arrange()放在一起,用于库gridExtra。在第一和第二幅图中,我删除了x轴的所有标记、文本和标题。
library(gridExtra)
p1<-ggplot()+geom_point(data=subset(d1,group=="g1"),aes(x=x,y=v1))+
geom_boxplot(data=subset(d2,group=="g1"),aes(x=x,y=v1))+
coord_flip()+
facet_grid(group~.)+
scale_y_continuous(limits=c(-2,2.5))+
theme(axis.title.x=element_blank(),
axis.text.x=element_blank(),
axis.ticks.x=element_blank())
p2<-ggplot()+geom_point(data=subset(d1,group=="g2"),aes(x=x,y=v1))+
geom_boxplot(data=subset(d2,group=="g2"),aes(x=x,y=v1))+
coord_flip()+
facet_grid(group~.)+
scale_y_continuous(limits=c(-2,2.5))+
theme(axis.title.x=element_blank(),
axis.text.x=element_blank(),
axis.ticks.x=element_blank())
p3<-ggplot()+geom_point(data=subset(d1,group=="g3"),aes(x=x,y=v1))+
geom_boxplot(data=subset(d2,group=="g3"),aes(x=x,y=v1))+
coord_flip()+
facet_grid(group~.)+
scale_y_continuous(limits=c(-2,2.5))
grid.arrange(p1,p2,p3)

https://stackoverflow.com/questions/19900975
复制相似问题