在更新算法复杂性时,我查看了下面的示例:
int x = 0;
for ( int j = 1; j <= n; j++ )
for ( int k = 1; k < 3*j; k++ )
x = x + j;我知道这个循环最后是O(n^2)。我相信内循环执行3*n次( 3(1+2+...n) ),外循环执行n次。因此,O(3n*n) = O(3n^2) = O(n^2)。
但是,我所看到的源将内部循环的执行扩展到:3(1+2+3+...+n) = 3n^2/2 + 3n/2。有人能解释一下3n^2/2 + 3n/2的执行时间吗?
发布于 2013-10-15 20:34:11
对于每个J必须执行内部循环的J*3迭代,所以命令x=x+j最终将执行n*3* (1 +2+3.+ n)次,算术级数之和为n*(n+1)/2,因此将执行命令:
3 * n * (n+1)/2 which is equals to (3*n^2)/2 + (3*n)/2
但是大O不是迭代的次数,而是渐近测度,所以在表达式3*n*(n+1)中,/2需要删除consts (将它们全部设置为0或1),因此我们有1*n*(n+0)/1 = n^2
本例中关于大O计算的小更新:要从3n(n+1)/2中生成大O,可以想象比N更大的O是无穷大的,因此:
infinity + 1 = infinity
3*infinity = infinity
infinity/2 = infinity
infinity*infinity = infinity^2所以你在这之后,你有N^2
发布于 2013-10-15 20:40:55
从1到m的整数之和为m*(m+1)/2,在给定的问题中,j从1到n,k从1到3*j,因此k上的内环执行3*(1+2+3+4+5+...+n)次,该级数中的每个项都代表j的一个值,从而得到3n(n+1)/2。如果展开,则得到3n^2+3n/2,但整件事情仍然是O(n^2)。你不在乎你的执行时间是否呈二次和线性上升,因为线性被二次二次曲线淹没。
发布于 2014-07-01 05:00:16
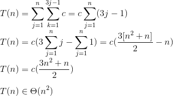
使用这样的Sigma表示法可以找到算法的精确性:

这是经验之谈。
https://stackoverflow.com/questions/19390210
复制相似问题