我必须将Matrix Rm_n分解成两个低秩矩阵(UK_m和VK*n),我这样做是为了用U和V来预测R的缺失值。

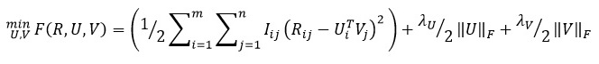
问题是,对于分解R,我不能使用Matlab分解方法,所以我必须使用目标函数来最小化sum-of-squared-errors,以提高分解的准确性:

详情如下:

我在这篇文章中的问题是,如何用最小化函数F,在Matlab中使用随机梯度下降方法将R分解成U矩阵和V矩阵。
谢谢你的帮助!
发布于 2013-10-09 19:25:38
最后,我在此页的帮助下找到了答案:)
我在以下几个步骤中解释了这种方法:
https://stackoverflow.com/questions/19213359
复制相似问题