我对Git非常陌生,但是它提供的轻量级分支/合并给我留下了深刻的印象。
我的存储库中有三个分支:
master
1.1.0
1.0.x我在1.0.x分支中做了一个快速修复,但我想知道是否应该立即将这些更改合并回1.1.0?还是建议等到1.1.0分支准备作为一个次要版本发布,以便将修补程序合并回?
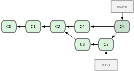
另外,在这张图片中:

在这个例子中,我假装iss53 = 1.0.x和master = 1.1.0。一旦我的1.0.x修复分支的更改被合并回1.1.0特性分支,我是否可以继续在1.0.x分支上工作?
如果我在处理1.0.x分支时提交了一个更改,在进行上述合并之后,它是通过一个假设的C7提交创建一个新的水平链接(以直观的方式描述它),还是有一个单亲C5,还是有两个父级,C5和C6?
git-book (Git -基本分支和合并)的这一部分还提到在完成分支后删除分支,但不幸的是,它们没有显示之后的图表。当然提交仍然存在-标签是否被移除?(在上面的示例中是iss53)。一旦该分支被移除,如果您发现问题53没有完全解决,您是否可以继续从C5工作,创建另一个iss53分支,还是必须给它一个不同的名称,比如iss53_2
发布于 2013-03-06 13:19:30
我会尽快合并,一旦你确定变化是好的,需要进入该分支机构。更早的合并更有可能成功,无需手工操作:)
如果删除分支,则树将保持完全相同,只有分支的标签消失。如果您已经提交了无法从任何标签中访问的提交,那么它们最终可能会被垃圾收集删除,但它会使它们保持几周的时间,而且这里不是这样的,因为您的所有提交仍然可以在某个分支中访问。
您可以轻松地再次创建分支,只需执行"git签出-b iss53 xxxxx“,其中xxxxx是要将其作为基础的提交十六进制代码。git reflog对于帮助找到您需要的提交非常有用,因为它显示了所有最近的历史。
https://stackoverflow.com/questions/15248003
复制相似问题