我有两个向量,a和b。见附件。
a是信号,是概率。b是下一个时期的绝对百分比变化。
Signalt <- seq(0, 1, 0.05)我想找到最大的绝对回报,出现在每个中间5%-瓷砖(Signalt)的向量。所以如果是
0.01, 0.02, 0.03, 0.06 0.07 然后,它应该计算出
0.01 and 0.02,
0.01 and 0.03,
0.02 and 0.03. 然后转移到
0.06 and 0.07 do it over etc. 然后,当整个序列运行时,输出将合并到一个矩阵或表中。
它应该跟随向量a和b的索引。
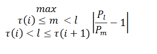
i是一个索引,每当a跨入一个新的百分位数时,它都会被更新一次。t(i)是与ith交叉相关联的桶。
a是具有长度的概率向量。这个向量应该在其5%的瓷砖中进行分析,最大的中间绝对回报是输出。下一时期的价格变动是向量b。这将在下面的方程式中用P表示。l和m是索引。
每次信号从一个5%的瓷砖移动到另一个,我们计算最大的绝对回报发生在任何两个中间桶之间,直到信号移动到另一个5%的瓦片。例如,假设信号移动到第85百分位数,4个卷桶随后移动到第90百分位数。然后我们计算桶1和2,1和3,1和4,2和3,2和4,3,3和4之间的绝对回报。然后,我们将计算以下百分位数桶中的最大返回数,然后再转到下一个,这可能是第85个百分位数,依此类推。因此,我们让我是一个索引,每次信号从一个百分位数移动到另一个百分位数时,就会更新1,并且τ(i)是与ith交叉相关联的桶。
这是我所用的方程式。表示法可能略有不同。

现在我的问题是如何解决这个问题。也许有人对此有直观的解决办法。我希望我的问题很清楚。
"a","b"
0,0.013013698630137
0,0.0013522650439487
0,0.00135409614082593
0,0.00203389830508471
0.27804813511593,0.00135317997293627
0.300237801284318,0
0.495965075167796,0.00405405405405412
0.523741892051237,0.000672947510094168
0.558753750296458,0.00202020202020203
0.665762829019002,0.000672043010752743
0.493106479913899,0.000671591672263272
0.344592579573497,0.000672043010752854
0.336263897823707,0.00201748486886366
0.35884763774257,0.00536912751677865
0.23662807979007,0.00133511348464632
0.212636893966841,0.00267379679144386
0.362212830513403,0.000666666666666593
0.319216408413927,0.00333555703802535
0.277670854167344,0
0.310143323100971,0
0.374104373036218,0.00267737617135211
0.190943075221511,0.00268456375838921
0.165770070508112,0.00200803212851386
0.240310208616952,0.00133600534402145
0.212418038918236,0.00200133422281523
0.204282022136019,0.00200534759358306
0.363725074298064,0.000667111407605114
0.451807761954326,0.000666666666666593
0.369296011692801,0.000666222518321047
0.37503495989363,0.0026666666666666
0.323386355686901,0.00132978723404265
0.189216171830472,0.00266311584553924
0.185252052821193,0.00199203187250996
0.174882909380997,0.000662690523525522
0.149291525540782,0.00132625994694946
0.196824215268048,0.00264900662251666
0.164611993131396,0.000660501981505912
0.125470998266484,0.00132187706543285
0.179999532586703,0.00264026402640272
0.368749638521621,0.000658327847267826
0.427799340926225,0发布于 2013-02-05 20:39:55
我对这个问题的解释
我希望我能正确理解你的问题。以下是我的理解:
b值是结果值。abs(b[l]/b[m]-1),其中m<l和两者都属于同一个桶基本答案
代码
这里的代码完成了我前面描述的内容:
# read the data (shortened, full data in OP)
d <- read.table(textConnection("a,b
0,0.013013698630137
[…]
0.427799340926225,0
"), sep=",", header=TRUE)
# compute percentile number for each line
d$percentile <- floor(d$a/0.05)*5 + 5
# start a new bucket whenever the percentile changes
d$bucket <- cumsum(c(1, diff(d$percentile) != 0))
# compute a single number for all rows of the same bucket
aggregate(b ~ percentile + bucket, d, function(b) {
if(length(b) == 1) return(b); # special case of only a single row
m <- outer(b, b, function(pm, pl) abs(pl/pm - 1)) # compare all pairs
return(max(m[upper.tri(m)])) # only return pairs with m < l
})输出
结果如下:
percentile bucket b
1 5 1 0.8960891071
2 30 2 0.0013531800
3 35 3 0.0000000000
4 50 4 0.0040540541
5 55 5 0.0006729475
6 60 6 0.0020202020
7 70 7 0.0006720430
8 50 8 0.0006715917
9 35 9 2.0020174849
10 40 10 0.0053691275
11 25 11 1.0026737968
12 40 12 0.0006666667
13 35 13 0.0033355570
14 30 14 0.0000000000
15 35 15 0.0000000000
16 40 16 0.0026773762
17 20 17 0.2520080321
18 25 18 0.5010026738
19 40 19 0.0006671114
20 50 20 0.0006666667
21 40 21 3.0026666667
22 35 22 0.0013297872
23 20 23 0.7511597084
24 15 24 0.0013262599
25 20 25 0.7506605020
26 15 26 0.0013218771
27 20 27 0.0026402640
28 40 28 0.0006583278
29 45 29 0.0000000000附加栏
代码
如果您还想知道每个组中的项目数,那么我建议您使用 library
library(plyr)
aggB <- function(b) {
if(length(b) == 1) return(b)
m <- outer(b, b, function(pm, pl) abs(pl/pm - 1))
return(max(m[upper.tri(m)]))
}
ddply(d, .(bucket), summarise,
percentile = percentile[1], n = length(b), maxr = aggB(b))输出
这将给出以下结果:
bucket percentile n maxr
1 1 5 4 0.8960891071
2 2 30 1 0.0013531800
3 3 35 1 0.0000000000
4 4 50 1 0.0040540541
5 5 55 1 0.0006729475
6 6 60 1 0.0020202020
7 7 70 1 0.0006720430
8 8 50 1 0.0006715917
9 9 35 2 2.0020174849
10 10 40 1 0.0053691275
11 11 25 2 1.0026737968
12 12 40 1 0.0006666667
13 13 35 1 0.0033355570
14 14 30 1 0.0000000000
15 15 35 1 0.0000000000
16 16 40 1 0.0026773762
17 17 20 2 0.2520080321
18 18 25 3 0.5010026738
19 19 40 1 0.0006671114
20 20 50 1 0.0006666667
21 21 40 2 3.0026666667
22 22 35 1 0.0013297872
23 23 20 3 0.7511597084
24 24 15 1 0.0013262599
25 25 20 2 0.7506605020
26 26 15 1 0.0013218771
27 27 20 1 0.0026402640
28 28 40 1 0.0006583278
29 29 45 1 0.0000000000发布于 2013-02-05 19:58:18
我不确定是否能理解,但在这里是一次尝试。我的想法是按厘米对数据分组,而不是使用by对每个组进行计算。
这是结果列表。每隔一段时间,
例如:
dat$split: 0
$P
[1] 0.0130 0.0014 0.0014 0.0020
$ret.max
[1] 8.6236
$ret.ind
Var1 Var2
5 1 2
---------------------------------------------------------------------------------------------------------------
dat$split: 1
$P
[1] 0.0014 0.0000
$ret.max
[1] 1
$ret.ind
Var1 Var2
2 2 1https://stackoverflow.com/questions/14711126
复制相似问题