我有三个偏微分方程(PDE)和一个变量的解析解,如下所示。用这些方程求解\phi(x,y,t),p(x,y,t),C_{a}(x,y,t)和C_{b}(x,y,t),即空间和时间。
我知道在Matlab中有一个函数pdepe( )用于求解1-D中抛物型椭圆偏微分方程的初边值问题。我想知道如何使用这个函数或Matlab中的其他函数来解决下面描述的问题,即二维和耦合问题。
问题:
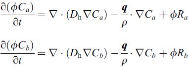
下面两个方程分别表示两个物种a和b的PDE:

其中,D_{h}和Q表示为:


这里,R_{a}=R_{b}=R,其中R作为:

最后,给出了最后一个方程:

初始条件和边界条件:

总畴尺寸为10 cm×5cm,y形子畴宽度为0.5cm。该子域的初始\phi为0.50,而在周围的矩阵\phi=为0.26。1 Pa和0 Pa的常数p分别保持在边界(1)和(2)处,对应于约10^-3m^-1的梯度。边界(3)和(4)上的p是由边界(1)和(2)之间的线性梯度确定的。C_{a} =2 mol ^-3和C_{b} = 0.2302 mol ^-3的常数C在边界(3)处保持不变,而在C_{a} =1 mol ^-3和C_{b} = 0.4603 mol m^-3处的浓度则保持不变。边界(1)的浓度由边界(3)和(4)之间的常数梯度决定,出口处设置一个对流通量边界条件$$(\frac{c}{ x} = 0)$$ (2)。
发布于 2017-09-05 01:32:13
这应该可以在FEATool Matlab有限元工具箱中实现。由于2D (以及1D和3D)对流扩散反应PDE方程已经被预先定义,并且易于耦合,你只需要输入你的扩散,对流和源项。虽然您的确切问题不能作为教程使用,但其他一些对流扩散实例模型可能是一个很好的起点。(也很抱歉不能发表评论。)
发布于 2012-10-28 16:27:02
你有PDE工具箱吗?
如果是的话:pdetool似乎是可行的(我没有它,所以我无法验证或实验其中的任何一个--你必须自己在那里做一些实验)。
如果不是,您可能会发现这或这值得研究。这些基本是有限差分的二维波动方程的实现。你可以把它们的核转化成求解耦合方程的方法。
也许更简单:看看这里;它是一个相当不错的FEM工具包,可以与Matlab一起使用。
https://stackoverflow.com/questions/13041748
复制相似问题