有人能告诉我以下解决方案是否正确吗?
我试图计算t(n) = t(n-2) +(n-2)的运行时间。
进一步评估
=> t(n)=t(n-4) +(n-2)平方+n平方
=> t(n)=t(n-6) +(n-6)平方+(n-2)平方+n平方
...since,它大约有n/2项,通过展开所有的平方(n/2) *(n平方),等于n³.So,运行时间是θ(N)。
这是正确的解决办法吗?
发布于 2012-09-22 07:36:02
是的,上面的内容是完全正确的(除了第一行的小例外应该是t(n) = t(n-4) + (n-4)^2 + (n-2)^2,根据问题的定义,并纠正下面的内容--但它不会影响渐近线的结果)。
为了证明这一点,我们可以使用数学归纳法
Claim: t(n) <= n^3
base: T(2) = 2 (assumption - otherwise we'll get stuck)
let's assume the assumption is true for each n<k for a certain k.
t(k) = t(k-2) + (k-2)^2 <= (k-2)^3 + (k-2)^2 =
= k^3 -6k^2 + 12k -8 + k^2 - 4k + 4
= k^3 -5k^2 + 8k - 4剩下的就是证明5k^2 >= 8k - 4和我们已经完成了。该方程适用于每一个k>=2 -证明它是作为一个幸灾乐祸。
由此我们可以导出t(n)在O(n^3)中。使用类似的方法,我们可以证明它也在Omega(n^3)中,因此它是Theta(n^3)。
发布于 2012-09-22 07:35:54
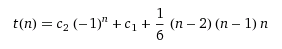
使用这个在线计算器结果可以看到Θ(n^3)。

如我所想,右乘法可以创建Θ(n^3)。
https://stackoverflow.com/questions/12541743
复制相似问题