我需要在目标C中实现一个树数据结构,并弄清楚它是如何工作的。
所以我现在知道的是:
关于-看上去怎么样.
树是一种递归数据结构。我必须实现的参数很少,例如,没有添加、搜索、删除和其他方法:
id info;
id left_node;
id right_node;据我所知,info是每个节点存储的值(例如NSInteger、NSString或其他东西)。left_node和right_node在当前树或子树中有指向其他节点的指针。
关于添加到树的
例如,我需要添加基于下面表达式的下一个数据:
50*(10-(5+6)) + (60*(10-2))
因此,在这一步,我有一个问题,因为我现在不知道它将如何在树上,我需要帮助。
发布于 2012-09-20 15:06:44
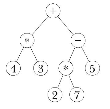
我在谷歌上搜索你:

我是(4*3)+((2*7)-5)
所以info一定是一个类似的类
bool isOperation;
NSInteger number;
NSInteger operation idx; //like 0 for '+', 1 for '-' ecc. to evaluate in a casehttps://stackoverflow.com/questions/12513920
复制相似问题